Concept of Differentiation

Consider a function y = f(x) of a variable x. Suppose x changes from an initial value x0 to a final value x1. Then, the increment in x is defined to be the amount of change in x. It is denoted by ∆x.

∆x = x1 − x0

x1 = x0 + ∆x

If x increases then ∆x > 0, since x1 > x0.

If x decreases then ∆x < 0, since x1 < x0.

As x changes from x0 to x1, y changes from f(x0) to f(x0 + ∆x).

The increment in y (∆y) depends on the values of x0 and ∆x. ∆y may be either positive, negative or zero depending on whether y has increased, decreased or remained constant when x changes from x0 to x1.

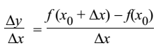
If the increment ∆y is divided by ∆x, the quotient ∆y/∆x is called the average rate of change of y with respect to x, as x changes from x0 to x0 + ∆x. The quotient is given by

 

This fraction is also called a difference quotient.

Relationship Between Differentiability and Continuity

Every differentiable function is continuous. The converse need not be true. i.e. a function which is continuous at a point need not be differentiable at that point.