Other Form of Hyperbola
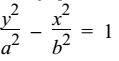
There is another standard hyperbola in which the transverse axis is along y-axis. If the transverse axis is along y-axis and the conjugate axis is along x-axis, then the equation of the hyperbola is
For this type of hyperbola,

Centre: C(0, 0)
Vertices: A(0, a), A′(0, −a)
Foci: F1(0, ae), F2(0, −ae)
Equation of transverse axis is x = 0
Equation of conjugate axis is y = 0
End points of conjugate axis: (b, 0), (−b, 0)
Equations of latus rectum: y = ±ae
Equations of directrices: y= ±a/e
End points of latus rectum: (±b2/a, ae), (±b2/a, −ae)
