NCERT Exemplar Problems Class 9 Science – Motion
NCERT Exemplar Problems Class 9 Science – Motion
Multiple Choice Questions (MCQs)
Question 1:
A particle is moving in a circular path of radius r. The displacement after half a circle would be
(a) zero (b) nr (c) 2r (d) 2nr
Answer:
(c) Given, after half the circle, the particle will reach the diametrically opposite point i.e., from point A to point 6. And we know displacement is shortest path between initial and final point.
Displacement after half circle = AB=OA + OB [v Given, OA and 06 = r]

Hence, the displacement after half circle is 2r.
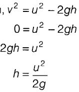
Question 2:
A body is thrown vertically upward with velocity u, the greatest height h to which it will rise is
(a)u/g (b) u2/2g (c) u2/g (d) u/2g
Answer:
(b) Given, initial velocity = u, height = h and a = g (acceleration due to gravity)
At the highest point, final velocity becomes zero i.e., v = 0
From, third equation of motion,

Here, we have used negative sign because the body is moving against the gravity.
Question 3:
The numerical ratio of displacement and distance for a moving object is
(a) always less than 1 (b) always equal to 1
(c) always more than 1 (d) equal or less than 1
Answer:
(d) Displacement of an object can be less than or equal to the distance covered by the object, because the magnitude of displacement is not equal to distance. However, it can be so if the motion is along a straight line without any change in direction.

Question 4:
If the displacement of an object is proportional to square of time, then • the object moves with
(a) uniform velocity (b) uniform acceleration
(c) increasing acceleration (d) decreasing acceleration
Answer:
(b)
So, the object moves with constant or uniform acceleration.
Question 5:
From the given v-t graph (see figure), it can be inferred that the object is

(a) in uniform motion
(b) at rest
(c) in non-uniform motion
(d) moving with uniform acceleration
Answer:
(a) From the given v-f graph, it is clear that the velocity of the object is not changing with time i.e., the object is in uniform motion.
Question 6:
Suppose a boy is enjoying a ride on a merry-go-round which is moving with a constant speed of 10 ms– a. It implies that the boy is
(a) at rest
(b) moving with no acceleration
(c) in accelerated motion
(d) moving with uniform velocity
Answer:
(c) In merry-go-round, the speed is constant but velocity is not constant, because its direction goes on changing i.e., there is acceleration in the motion. So, we can say that
the boy is in accelerated motion.

Question 7:
Area under v-t graph represents a physical quantity which has the unit
(a) m2 (b) m (c) m5 (d) ms-1
Answer:
(b) Area under v-t graph represent displacement whose unit is metre or (m).
Because, unit of velocity v = m/s and unit of time (T) = s.

Hence, the unit of (v-t) graph is metre (m).
Question 8:
Four cars A, B, C and D are moving on a levelled road.
Their distance versus time graphs are shown in figure.
Choose the correct statement.

(a) Car A is faster than car D
(b) Car B is the slowest
(c) Car D is faster than car C
(d) Car C is the slowest
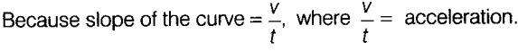
Answer:
(b) The slope of distance-time graph represents the speed. From the graph, it is clear that the slope of distance-time graph for car B is less than all other cars. So, the slope is minimum for car B. Hence, car B is the slowest.
Question 9:

Answer:
(a) For uniform motion, the distance-time graph is a straight line (because in uniform motion object covers equal distance in equal interval of time).
Question 10:
Slope of a velocity-time graph gives
(a) the distance (b) the displacement
(c) the acceleration (d) the speed
Answer:
(c) Slope of velocity-time graph gives acceleration.

Question 11:
In which of the following cases of motions, the distance moved and the magnitude of displacement are equal?
(a) If the car is moving on straight road
(b) If the car is moving in circular path
(c) The pendulum is moving to and fro
(d) The earth is revolving around the sun
Answer:
(a) The distance moved and magnitude of displacement are equal only in the case of motion along a straight line. Because displacement is the shortest path between initial and find path.
So, for car moving on straight road, distance moved and magnitude of displacement are equal.
Short Answer Type Questions
Question 12:
The displacement of a moving object in a given interval of a time is zero. Would the distance travelled by the object also be zero? Justify your answer?
Answer:
The displacement of a moving object in a given interval is zero i.e., the object comes back to its initial position in the given time (displacement is the shortest distance between the initial and final position of an object).
The distance in this case will not be zero because distance is the total length of the path travelled by the body. If the object comes back to its initial position, then length of path travelled is not zero.
Question 13:
How will the equations of motion for an object moving with a uniform velocity change?
Answer:
We know that, the equations of uniformly accelerated motion are

For an object moving with uniform velocity (velocity which is not changing with time), then acceleration
a = 0.
So, equations of motion will become (putting a = 0 in above equations)
(i) v =u (ii) s =ut
(iii) v2 =u2
Question 14:
A girl walks along a straight path to drop a letter in the letter box and comes back to her initial position. Her displacement-time graph is shown in figure. Plot a velocity-time graph for the same.

Answer:

Question 15:
A car starts from rest and moves along the X-axis with constant acceleration 5 ms-2 for 8 s. If it then continues with constant velocity. What distance will the car cover in 12 s, since it started from rest?
Answer:
Given, the car starts from rest, so its initial velocity u = 0
Acceleration, (a) = 5 ms-2 and time (t) = 8 s
From first equation of motion,
v = u + at
On putting a = 5 ms-2and t = 8 s in above equation, we get
v = 0+ 5×8= 40ms’1
So, final velocity v is 40 ms’1.
Again, from second equation of motion,

So, the distance covered in 8 s is 160 m. -
Given, total time t = 12 s.
After 8 s, the car continues with constant velocity i.e., the car will move with a velocity of 40 ms-1.
So, remaining time t’= 12 s-8 s= 4s
The distance covered in the last 4s (s’) =Velocity x Time [∴ Distance = Velocity x Time]
= 40 x 4 = 160 m
[We have used the direct formula because after 8 s, car is moving with constant velocity i.e., zero acceleration].
Total distance travelled in 12 s from the start
D = s + s’= 160+ 160= 320 m
Question 16:

Answer:

Question 17:
The velocity-time graph (see figure) shows the motion of a cyclist. Find (i) its acceleration (ii) its velocity and (iii) the distance covered by the cyclist in 15 s.

Answer:

Question 18:
Draw a velocity versus time graph of a stone thrown vertically upwards
and then coming downwards after attaining the maximum height.
Answer:
When a stone is thrown vertically upwards, it has some initial velocity (letu). As the stone goes its velocity goes on decreasing (v it is moving against the gravity) and at the highest point i.e., maximum height) its velocity become zero. Let the stone takes time ‘t’ second to reach at the highest point.
After that stone begins to fall (with zero initial velocity) and its velocity goes on increasing (since it is moving with the gravity) and it reaches its initial point of projection with the velocity v in the same time (with which it was thrown). So,

Here, we have taken -u because in the upward motion velocity of stone is in upward direction and in the downward motion, the velocity is in downward direction.

The velocity-time graph for the whole journey is shown below
Long Answer Type Questions
Question 19:
An object is dropped from rest at a height of 150 m and simultaneously another object is dropped from rest at height 100 m. What is the difference in their heights after 2 s, if both the objects drop with same accelerations? How does the difference in heights vary with time?
Answer:

Height of second object from the ground after 2s then h2 = 100m – 20m = 80m Now, difference in the height after 2s = h1 – h2 = 130 – 80= 50 m
The difference in hights of the objects will remain same with time as both the objects have been dropped from rest and are falling with same acceleration i.e., (acceleration due to gravity).
Question 20:
An object starting from rest travels 20 m in first 2 s and 160 m in next 4 s. What will be the velocity after 7s from the start?
Answer:

Question 21:
Using following data, draw time-displacement graph for a moving object.

Use this graph to find average velocity for first 4 s, for next 4 s and for last 6 s.
Answer:
Therefore, displacement-time graph is shown in figure.

Question 22:
An electron moving with a velocity of 5xl04ms-1 enters into a
uniform electric field and acquires a uniform acceleration of 104ms~2 in the direction of its initial motion.
(i) Calculate the time in which the electron would acquire a velocity double of its initial velocity.
(ii) How much distance the electron would cover in this time?
Answer:


Question 23:
Obtain a relation for the distance travelled by an object moving with a uniform acceleration in the interval between 4th and 5th second.
Answer:

Question 24:

Answer:
