Chemistry Chapter-08: Redox Reactions

1. Assign oxidation no. to the elements underlined:

(i) \(NaH_2\underline{P}O_4\)

(ii) \(NaH\underline{S}O_{4}\)

(iii) \(H_{4}\underline{P}_{2}O_{7}\)

(iv) \(K_{2}\underline{Mn}O_{4}\)

(v) \(Ca\underline{O}_{2}\)

(vi) \(Na\underline{B}H_{4}\)

(vii) \(H_{2}\underline{S}_{2}O_{7}\)

(viii) \(KAl(\underline{S}O_{4})_{2}.12H_{2}O\)

 

Answer:

(i) \(NaH_2\underline{P}O_4\)

Let x be the oxidation no. of P.

Oxidation no. of Na = +1

Oxidation no. of H = +1

Oxidation no. of O = -2

Then,

1(+1) + 2(+1) + 1(x) + 4(-2) = 0

1 + 2 + x -8 = 0

x = +5

Therefore, oxidation no. of P is +5.

(ii) \(NaH\underline{S}O_{4}\)

Let x be the oxidation no. of S.

Oxidation no. of Na = +1

Oxidation no. of H = +1

Oxidation no. of O = -2

Then,

1(+1) + 1(+1) + 1(x) + 4(-2) = 0

1 + 1 + x -8 = 0

x = +6

Therefore, oxidation no. of S is +6.

(iii) \(H_{4}\underline{P}_{2}O_{7}\)

Let x be the oxidation no. of P.

Oxidation no. of H = +1

Oxidation no. of O = -2

Then,

4(+1) + 2(x) + 7(-2) = 0

4 + 2x – 14 = 0

2x = +10

x = +5

Therefore, oxidation no. of P is +5.

(iv) \(K_{2}\underline{Mn}O_{4}\)

Let x be the oxidation no. of Mn.

Oxidation no. of K = +1

Oxidation no. of O = -2

Then,

2(+1) + x + 4(-2) = 0

2 + x – 8 = 0

x = +6

Therefore, oxidation no. of Mn is +6.

(v) \(Ca\underline{O}_{2}\)

Let x be the oxidation no. of O.

Oxidation no. of Ca = +2

Then,

(+2) + 2(x) = 0

2 + 2x = 0

2x = -2

x = -1

Therefore, oxidation no. of O is -1.

(vi) \(Na\underline{B}H_{4}\)

Let x be the oxidation no. of B.

Oxidation no. of Na = +1

Oxidation no. of H = -1

Then,

1(+1) + 1(x) + 4(-1) = 0

1 + x -4 = 0

x = +3

Therefore, oxidation no. of B is +3.

(vii) \(H_{2}\underline{S}_{2}O_{7}\)

Let x be the oxidation no. of S.

Oxidation no. of H = +1

Oxidation no. of O = -2

Then,

2(+1) + 2(x) + 7(-2) = 0

2 + 2x – 14 = 0

2x = +12

x = +6

Therefore, oxidation no. of S is +6.

(viii) \(KAl(\underline{S}O_{4})_{2}.12H_{2}O\)

Let x be the oxidation no. of S.

Oxidation no. of K = +1

Oxidation no. of Al = +3

Oxidation no. of O= -2

Oxidation no. of H = +1

Then,

1(+1) + 1(+3) + 2(x) + 8(-2) + 24(+1) + 12(-2) = 0

1 + 3 + 2x – 16 + 24 – 24 = 0

2x = +12

x = +6

Therefore, oxidation no. of S is +6.

OR

Ignore the water molecules because it is neutral. Then, the summation of the oxidation no. of all atoms of water molecules can be taken as 0. Hence, ignore the water molecule.

1(+1) + 1(+3) + 2(x) + 8(-2) = 0

1 + 3 + 2x -16 = 0

2x = 12

x = +6

Therefore, oxidation no. of S is +6.

 

 

2.Assign oxidation no. to the elements underlined:

(i) \(K\underline{I}_{3}\)

(ii) \(H_{2}\underline{S}_{4}O_{6}\)

(iii) \(\underline{Fe}_{3}O_{4}\)

(iv) \(\underline{C}H_{3}\underline{C}H_{2}OH\)

(v) \(\underline{C}H_{3}\underline{C}OOH\)

 

Answer:

(i) \(K\underline{I}_{3}\)

Let x be the oxidation no. of I.

Oxidation no. of K = +1

Then,

1(+1) + 3(x) = 0

1 + 3x = 0

x = \(-\frac{1}{3}\)

Oxidation no. cannot be fractional. Hence, consider the structure of \(KI_{3}\).

In \(KI_{3}\) molecule, an iodine atom forms coordinate covalent bond with an iodine molecule.

Therefore, in \(KI_{3}\) molecule, the oxidation no. of I atoms forming the molecule \(I_{2}\) is 0, while the oxidation no. of I atom which is forming coordinate bond is -1.

(ii) \(H_{2}\underline{S}_{4}O_{6}\)

Let x be the oxidation no. of S.

Oxidation no. of H = +1

Oxidation no. of O = -2

Then,

2(+1) + 4(x) + 6(-2) = 0

2 + 4x -12 = 0

4x = 10

x = \(+2\frac{1}{2}\)

Oxidation no. cannot be fractional. Therefore, S would be present with different oxidation state in molecule.

The oxidation no. of two out of the four S atoms is +5 while that of other two atoms is 0.

(iii) \(\underline{Fe}_{3}O_{4}\)

Let x be the oxidation no. of Fe.

Oxidation no. of O = -2

Then,

3(x) + 4(-2) = 0

3x -8 = 0

x = \(\frac{8}{3}\)

Oxidation no. cannot be fractional.

One of the three atoms of Fe has oxidation no. +2 and other two atoms of Fe has oxidation no. +3.

(iv) \(\underline{C}H_{3}\underline{C}H_{2}OH\)

Let x be the oxidation no. of C.

Oxidation no. of O= -2

Oxidation no. of H = +1

Then,

2(x) + 4(+1) + 1(-2) = 0

2x + 4 -2 = 0

x = -2

Therefore, oxidation no. of C is -2.

(v) \(\underline{C}H_{3}\underline{C}OOH\)

Let x be the oxidation no. of C.

Oxidation no. of O= -2

Oxidation no. of H = +1

Then,

2(x) + 4(+1) + 2(-2) = 0

2x + 4 -4 = 0

x = 0

Therefore, average oxidation no. of C is 0. Both the carbon atoms are present in different environments so they cannot have same oxidation no. Therefore, carbon has oxidation no. of +2 and _2 in \(CH_{3}COOH\).

 

 

3. The reactions given below are redox reactions. Justify the reactions.

(i) \(CuO_{(s)} \; + \; H_{2 \; (g)} \; \rightarrow \; Cu_{(s)} \; + \; H_{2}O_{(g)}\)

(ii) \(Fe_{2}O_{3 \; (s)} \; + \; 3 \; CO_{(g)} \; \rightarrow \; 2 \; Fe_{(s)} \; + \; 3 \; CO_{2 \; (g)}\)

(iii)\(4 \; BCl_{3 \; (g)} \; + \; 3 \; LiAlH_{4 \; (s)} \; \rightarrow \; 2 \; B_{2}H_{6 \; (g)} \; + \; 3 \; LiCl_{(s)} \; + \; 3 \; AlCl_{3 \; (s)}\)

(iv) \(2\;K_{(s)}\;+\;F_{2\;(g)}\;\rightarrow\;2\;K\;+\;F_{(s)}\)

(v) \(4\;NH_{3\;(g)}\;+\;5\;O_{2\;(g)}\;\rightarrow \; 4 \;NO_{(g)}\;+\;6\;H_{2}O_{(g)}\)

 

Answer:

(i) \(CuO_{(s)} \; + \; H_{2 \; (g)} \; \rightarrow \; Cu_{(s)} \; + \; H_{2}O_{(g)}\)

Oxidation no. of Cu and O in \(CuO\) is +2 and -2 respectively.

Oxidation no. of \(H_{2}\) is 0.

Oxidation no. of Cu is 0.

Oxidation no. of H and O in \(H_{2}O\) is +1 and -2 respectively.

The oxidation no. of Cu decreased from +2 in \(CuO\) to 0 in Cu. That is \(CuO\) is reduced to Cu.

The oxidation no. of H increased from 0 to +1 in \(H_{2}\). That is \(H_{2}\) is oxidized to \(H_{2}O\).

Therefore, the reaction is redox reaction.

(ii) \(Fe_{2}O_{3 \; (s)} \; + \; 3 \; CO_{(g)} \; \rightarrow \; 2 \; Fe_{(s)} \; + \; 3 \; CO_{2 \; (g)}\)

In the above reaction,

Oxidation no. of Fe and O in \(Fe_{2}O_{3}\) is +3 and -2 respectively.

Oxidation no. of C and O in CO is +2 and -2 respectively.

Oxidation no. of Fe is 0.

Oxidation no. of C and O in \(CO_{2}\) is +4 and -2 respectively.

The oxidation no. of Fe decreased from +3 in \(Fe_{2}O_{3}\) to 0 in Fe. That is \(Fe_{2}O_{3}\) is reduced to Fe.

The oxidation no. of C increased from 0 to +2 in CO to +4 in \(CO_{ 2 }\). That is CO is oxidized to \(CO_{ 2 }\).

Therefore, the reaction is redox reaction.

(iii)\(4 \; BCl_{3 \; (g)} \; + \; 3 \; LiAlH_{4 \; (s)} \; \rightarrow \; 2 \; B_{2}H_{6 \; (g)} \; + \; 3 \; LiCl_{(s)} \; + \; 3 \; AlCl_{3 \; (s)}\)

the above reaction,

Oxidation no. of B and Cl in \(BCl_{3}\) is +3 and -1 respectively.

Oxidation no. of Li, Al and H in \(LiAlH_{4}\) is +1, +3 and -1 respectively.

Oxidation no. of B and H in \(B_{2}H_{6}\) is -3 and +1 respectively.

Oxidation no. of Li and Cl in LiCl is +1 and -1 respectively.

Oxidation no. of Al and Cl in \(AlCl_{3}\) is +3 and -1 respectively.

The oxidation no. of B decreased from +3 in \(BCl_{3}\) to -3 in \(B_{2}H_{6}\). That is \(BCl_{3}\)is reduced to \(B_{2}H_{6}\).

The oxidation no. of H increased from -1 in \(LiAlH_{4}\) to +1 in \(B_{2}H_{6}\). That is \(LiAlH_{4}\) is oxidized to \(B_{2}H_{6}\).

Therefore, the reaction is redox reaction.

(iv) \(2 \; K_{(s)} \; + \; F_{2 \; (g)} \; \rightarrow \; 2 \; K \; + \; F_{(s)}\)

In the above reaction,

Oxidation no. of K is 0.

Oxidation no. of F is 0.

Oxidation no. of K and F in KF is +1 and -1 respectively.

The oxidation no. of K increased from 0 in K to +1 in KF. That is K is oxidized to KF.

The oxidation no. of F decreased from 0 in \(F_{2}\) to -1 in KF. That is \(F_{2}\) is reduced to KF.

Therefore, the reaction is a redox reaction.

(v) \(4 \; NH_{3 \; (g)} \; + \; 5 \; O_{2 \; (g)} \; \rightarrow \; 4 \; NO_{(g)} \; + \; 6 \; H_{2}O_{(g)}\)

In the above reaction,

Oxidation no. of N and H in \(NH_{3}\) is -3 and +1 respectively.

Oxidation no. of \(O_{2}\) is 0.

Oxidation no. of N and O in NO is +2 and -2 respectively.

Oxidation no. of H and O in \(H_{2}O\) is +1 and -2 respectively.

The oxidation no. of N increased from -3 in \(NH_{ 3 }\) to +2 in NO.

The oxidation no. of \(O_{2}\) decreased from 0 in \(O_{ 2 }\) to -2 in NO and \(H_{ 2 }O\). That is \(O_{ 2 }\) is reduced.

Therefore, the reaction is a redox reaction.

 

 

4. Give the reaction of fluorine when reacts with ice:

\(H_{ 2 }O_{ (s) } \; + \; F_{ 2 \; (g) } \; \rightarrow \; HF_{ (g) } \; + \; HOF_{ (g) }\)

Give reason that the above reaction is redox reaction.

 

Answer:

\(H_{ 2 }O_{ (s) } \; + \; F_{ 2 \; (g) } \; \rightarrow \; HF_{ (g) } \; + \; HOF_{ (g) }\)

In the above reaction,

Oxidation no. of H and O in \(H_{ 2 }O\) is +1 and -2 respectively.

Oxidation no. of \(F_{ 2 }\) is 0.

Oxidation no. of H and F in HF is +1 and -1 respectively.

Oxidation no. of H, O and F in HOF is +1, -2 and +1 respectively.

The oxidation no. of F increased from 0 in \(F_{ 2 }\) to +1 in HOF.

The oxidation no. of F decreased from 0 in \(O_{ 2 }\) to -1 in HF.

Therefore, F is both reduced as well as oxidized. So, it is redox reaction.

 

 

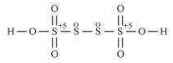
5. Calculate the oxidation no. of chromium, sulphur and nitrogen in \(H_{ 2 }SO_{ 5 }\), \(Cr_{ 2 }O_{ 7 }^{ 2- }\) and \(NO_{ 3 }^{ – }\). Give the structure for the compounds. Count for the fallacy.

 

Answer:

(i) \(H_{ 2 }SO_{ 5 }\)

Let x be the oxidation no. of S.

Oxidation no. of O= -2

Oxidation no. of H = +1

 

Then,

2(+1) + 1(x) + 5(-2) = 0

2 + x – 10 = 0

x = +8

But the oxidation no. of S cannot be +8 as S has 6 valence electrons. Therefore, the oxidation no. of S cannot be more than +6.

The structure of \(H_{ 2 }SO_{ 5 }\) is as given below:

Now,

2(+1) + 1(x) + 3(-2) + 2(-1) = 0

2 + x – 6 – 2 = 0

x = +6

Therefore, the oxidation no. of S is +6.

 

(ii) \(Cr_{ 2 }O_{ 7 }^{ 2- }\)

Let x be the oxidation no. of Cr.

Oxidation no. of O= -2

Then,

2(x) + 7(-2) = -2

2x -14 = -2

x = +6

There is no fallacy about the oxidation no. of Cr in \(Cr_{ 2 }O_{ 7 }^{ 2- }\).

The structure of \(Cr_{ 2 }O_{ 7 }^{ 2- }\) is as given below.

Each of the two Cr atoms has the oxidation no. of +6.

(iii) \(NO_{ 3 }^{ – }\)

Let x be the oxidation no. of N.

Oxidation no. of O= -2

Then,

1(x) + 3(-2) = -1

x – 6 = -1

x = +5

There is no fallacy about the oxidation no. of N in \(NO_{ 3 }^{ – }\).

The structure of \(NO_{ 3 }^{ – }\) is as given below.

Nitrogen atom has the oxidation no. of +5.

 

6.Give the formula for the given compounds:

(i) Mercury (II) chloride

(ii) Nickel (II) sulphate

(iii) Tin (IV) oxide

(iv) Thallium (I) sulphate

(v) Iron (III) sulphate

(vi) Chromium (III) oxide

 

Answer:

(i) Mercury (II) chloride

\(HgCl_{ 2 }\)

 

(ii) Nickel (II) sulphate

\(NiSO_{ 4 }\)

 

(iii) Tin (IV) oxide

\(SnO_{ 2 }\)

 

(iv) Thallium (I) sulphate

\(Tl_{ 2 }SO_{ 4 }\)

 

(v) Iron (III) sulphate

\(Fe_{ 2 }(SO_{ 4 })_{ 3 }\)

 

(vi) Chromium (III) oxide

\(Cr_{ 2 }O_{ 3 }\)

 

7.Give a list of the compounds where carbon has oxidation no. from -4 to +4 and nitrogen from -3 to +5.

 

Answer:

The compound where carbon has oxidation no. from -4 to +4 is as given below in the table:

Compounds Oxidation no. of carbon
\(CH_{ 2 }Cl_{ 2 }\) 0
\(HC\equiv CH\) -1
\(ClC\equiv CCl\) +1
\(CH_{ 3 }Cl\) -2
\(CHCl_{ 3 }\), CO +2
\(H_{ 3 }C-CH_{ 3 }\) -3
\(Cl_{ 3 }C-CCl_{ 3 }\) +3
\(CH_{ 4 }\) -4
\(CCl_{ 4 }\), \(CO_{ 2 }\) +4

 

Compounds Oxidation no. of nitrogen
\(N_{ 2 }\) 0
\(N_{ 2 }H_{ 2 }\) -1
\(N_{ 2 }O\) +1
\(N_{ 2 }H_{ 4 }\) -2
\(NO\) +2
\(NH_{ 3 }\) -3
\(N_{ 2 }O_{ 3 }\) +3
\(NO_{ 2 }\) +4
\(N_{ 2 }O_{ 5 }\) +5
  1. Hydrogen peroxide and sulphur dioxide can act as oxidizing and reducing agents in the reactions, nitric acid and ozone act only as oxidants. Why?

 

Answer:

In sulphur dioxide (\(SO_{ 2 }\)) the oxidation no. of S is +4 and the range of oxidation no. of sulphur is from +6 to -2.

Hence, \(SO_{ 2 }\) can act as reducing and oxidising agent.

 

In hydrogen peroxide (\(H_{ 2 }O_{ 2 }\)) the oxidation no. of O is -1 and the range of the oxidation no. of oxygen is from 0 to -2. Oxygen can sometimes attain the oxidation no. +1 and +2.

Therefore, \(H_{ 2 }O_{ 2 }\) can act as reducing and oxidising agent.

 

In ozone (\(O_{ 3 }\)) the oxidation no. of O is 0 and the range of the oxidation no. of oxygen is from 0 to –2. Hence, the oxidation no. of oxygen only decreases in this case.

Therefore, \(O_{ 3 }\) acts only as an oxidant.

 

In nitric acid (\(HNO_{ 3 }\)) the oxidation no. of nitrogen is +5 and the range of the oxidation no. that nitrogen can have is from +5 to -3. Hence, the oxidation no. of nitrogen can only decrease in this case.

Therefore, \(HNO_{ 3 }\) acts only as an oxidant.

9.Consider the following reactions:

(i) \(6 \; CO_{ 2 \; (g) } \; + \; 6 \; H_{ 2 }O_{ (l) } \; \rightarrow \; C_{ 6 }H_{ 12 }O_{ 6 \; (aq) } \; + \; 6 \; O_{ 2 \; (g) }\)

(ii) \(O_{ 3 \; (g) } \; + H_{ 2 }O_{ 2 \; (l) } \; \rightarrow \; H_{ 2 }O_{ (l) } \; + \; 2 \; O_{ 2 \; (g) }\)

It is suitable to write the above equations as given below. Why?

(i) \(6 \; CO_{ 2 \; (g) } \; + \; 12 \; H_{ 2 }O_{ (l) } \; \rightarrow \; C_{ 6 }H_{ 12 }O_{ 6 \; (aq) } \; + \; 6 \; H_{ 2 }O_{ (l) } \; + \; 6 \; O_{ 2 \; (g) }\)

(ii) \(O_{ 3 \; (g) } \; + H_{ 2 }O_{ 2 \; (l) } \; \rightarrow \; H_{ 2 }O_{ (l) } \; + \; O_{ 2 \; (g) } \; + \; O_{ 2 \; (g) }\)

Give a technique to find the path of above (i) and (ii) redox reactions.

Answer:

(i)

Step 1 :

\(H_{ 2 }O\) breaks to give \(H_{ 2 }\) and \(O_{ 2 }\).

\(2 \; H_{ 2 }O_{ (l) } \; \rightarrow \; 2 \; H_{ 2 \; (g) } \; + \; O_{ 2 \; (g) }\)

Step 2 :

The \(H_{ 2 }\) produced in earlier step reduces \(CO_{ 2 }\), thus produce glucose and water.

\(6 \; CO_{ 2 \; (g) } \; + \; 12 \; H_{ 2 \; (g) } \; \rightarrow \; C_{ 6 }H_{ 12 }O_{ 6 \; (s) } \; + \; 6 \; H_{ 2 }O_{ (l) }\)

The net reaction is as given below:

\(2 \; H_{ 2 }O_{ (l) } \; \rightarrow \; 2 \; H_{ 2 \; (g) } \; + \; O_{ 2 \; (g) }\) × 6

\(6 \; CO_{ 2 \; (g) } \; + \; 12 \; H_{ 2 \; (g) } \; \rightarrow \; C_{ 6 }H_{ 12 }O_{ 6 \; (s) } \; + \; 6 \; H_{ 2 }O_{ (l) }\)

————————————————————————————————————————–

\(6 \; CO_{ 2 \; (g) } \; + \; 12 \; H_{ 2 }O_{ (l) } \; \rightarrow \; C_{ 6 }H_{ 12 }O_{ 6 \; (g) } \; + \; 6 \; H_{ 2 }O_{ (l) } \; + \; 6 \; O_{ 2 \; (g) }\)

 

This is the suitable way to write the reaction as the reaction also produce water molecules in the photosynthesis process.

The path can be found with the help of radioactive \(H_{ 2 }O^{ 18 }\) instead of \(H_{ 2 }O\).

 

(ii)

Step 1 :

\(O_{ 2 }\) is produced from each of the reactants \(O_{ 3 }\) and \(H_{ 2 }O_{ 2 }\). That is the reason \(O_{ 2 }\) is written two times.

 

\(O_{ 3 }\) breaks to form \(O_{ 2 }\) and O.

Step 2 :

\(H_{ 2 }O_{ 2 }\) reacts with O produced in the earlier step, thus produce \(H_{ 2 }O\) and \(O_{ 2 }\).

 

\(O_{ 3 \; (g) } \; \rightarrow \; O_{ 2 \; (g) } \; + \; O_{ (g) }\;\)

 

\(\;H_{ 2 }O_{ 2 \; (l) } \; + \; O_{ (g) } \; \rightarrow \; H_{ 2 }O_{ (l) } \; + \; O_{ 2 \; (g) }\)

———————————————————————————————-

\(H_{ 2 }O_{ 2 \; (l) } \; + \; O_{ 3 \; (g) } \; \rightarrow \; H_{ 2 }O_{ (l) } \; + \; O_{ 2 \; (g) } \; + \; O_{ 2 \; (g) }\)

 

The path can be found with the help of \(H_{ 2 }O_{ 2 }^{ 18 }\) or \(O_{ 3 }^{ 18 }\).

 

 

10. \(AgF_{ 2 }\) is a compound which is unstable. Even if formed, the compound would act as a very strong oxidizing agent. Why?

 

Answer:

 

The oxidation no. of Ag in \(AgF_{ 2 }\) is +2. But, +2 is very unstable oxidation no. of Ag. Hence, when \(AgF_{ 2 }\) is formed, silver accepts an electron and forms \(Ag^{ + }\). This decreases the oxidation no. of Ag from +2 to +1. +1 state is more stable. Therefore, \(AgF_{ 2 }\) acts as a very strong oxidizing agent.

 

11. When there is a reaction between reducing agent and oxidizing agent, a compound is formed which has lower oxidation number if the reducing agent is in excess and a compound is formed which has higher oxidation number if the oxidizing agent is in excess.

Justify the above statement with three examples.

Answer:

When there is a reaction between reducing agent and oxidizing agent, a compound is formed which has lower oxidation number if the reducing agent is in excess and a compound is formed which has higher oxidation number if the oxidizing agent is in excess.

(i) \(P_{ 4 }\) and \(F_{ 2 }\) are reducing and oxidizing agent respectively.

In an excess amount of \(P_{ 4 }\) is reacted with \(F_{ 2 }\), then \(PF_{ 3 }\) would be produced, where the oxidation no. of P is +3.

\(P_{ 4 } \; _{(excess)} \; F_{ 2 } \; \rightarrow \; PF_{ 3 }\)

If \(P_{ 4 }\) is reacted with excess of \(F_{ 2 }\), then \(PF_{ 5 }\) would be produced, where the oxidation no. of P is +5.

\(P_{ 4 } \; + \; F_{ 2 } \; _{(excess)} \; \rightarrow \; PF_{ 5 }\)

(ii) K and \(O_{ 2 }\) acts as a reducing agent and oxidizing agent respectively.

If an excess of K reacts with \(O_{ 2 }\), it produces \(K_{ 2 }O\). Here, the oxidation number of O is -2.

\(4 \; K \; _{(excess)} \; + \; O_{ 2 } \; \rightarrow \; 2 \; K_{ 2 }O^{ -2 }\)

If K reacts with an excess of \(O_{ 2 }\), it produces \(K_{ 2 }O_{ 2 }\), where the oxidation number of O is –1.

\(2 \; K \; + \; O_{ 2 } \; _{(excess)} \; \rightarrow \; K_{ 2 }O_{ 2 }^{ -1 }\)

(iii) C and \(O_{ 2 }\) acts as a reducing agent and oxidizing agent respectively.

If an excess amount of C is reacted with insufficient amount of \(O_{ 2 }\), then it produces CO, where the oxidation number of C is +2.

\(C \; _{(excess)} \; + \; O_{ 2 } \; \rightarrow \; CO\)

If C is burnt in excess amount of \(O_{ 2 }\), then \(CO_{ 2 }\) is produced, where the oxidation number of C is +4.

\(C \; + \; O_{ 2 } \; _{(excess)} \; \rightarrow \; CO_{ 2 }\)

12.How do you count for the following observations?

(i) Acidic potassium permanganate and alkaline potassium permanganate both are used as oxidants, yet in the manufacture of benzoic acid from toluene we use alcoholic potassium permanganate as an oxidant. Why? Write a balanced redox equation for the reaction.

(ii) When concentrated sulphuric acid is added to an inorganic mixture containing chloride, we get colourless pungent smelling gas HCl, but if the mixture contains bromide then we get red vapour of bromine. Why?

Answer:

(i) While manufacturing benzoic acid from toluene, alcoholic potassium permanganate is used as an oxidant due to the given reasons.

(a) In a neutral medium, \(OH^{ – }\) ions are produced in the reaction. Due to that, the cost of adding an acid or a base can be reduced.

(b) \(KMnO_{ 4 }\) and alcohol are homogeneous to each other as they are polar. Alcohol and toluene are homogeneous to each other because both are organic compounds. Reactions can proceed at a faster rate in a homogeneous medium compared to heterogeneous medium. Therefore, in alcohol, \(KMnO_{ 4 }\) and toluene can react at a faster rate.

The redox reaction is as given below:

(ii) When concentrated \(H_{ 2 }SO_{ 4 }\) is added to an inorganic mixture containing bromide, firstly HBr is produced. HBr, a strong reducing agent, reduces \(H_{ 2 }SO_{ 4 }\) to \(SO_{ 2 }\) with the evolution of bromine’s red vapour.

\(2 \; NaBr \; + \; 2 \; H_{ 2 }SO_{ 4 } \; \rightarrow \; 2 \; NaHSO_{ 4 } \; + \; 2 \; HBr\)

\(2 \; HBr \; + \; H_{ 2 }SO_{ 4 } \; \rightarrow \; Br_{ 2 } \; + \; SO_{ 2 } \; + \; 2 \; H_{ 2 }O\)

When concentrated \(H_{ 2 }SO_{ 4 }\) I added to an inorganic mixture containing chloride, a pungent smelling gas (HCl) is evolved. HCl, a weak reducing agent, cannot reduce \(H_{ 2 }SO_{ 4 }\) to \(SO_{ 2 }\).

\(2 \; NaCl \; + \; 2 \; H_{ 2 }SO_{ 4 } \; \rightarrow \; 2 \; NaHSO_{ 4 } \; + \; 2 \; HCl\)

13. Find the oxidizing agent, reducing agent, the substance oxidized and reduced for the given reactions:

(i) \(2 \; AgBr_{ (s) } \; + \; C_{ 6 }H_{ 6 }O_{ 2 \; (aq) } \; \rightarrow \; 2 \; Ag_{ (s) } \; + \; 2 \; HBr_{ (aq)} \; + \; C_{ 6 }H_{ 4 }O_{ 2 \; (aq) }\)

(ii) \(HCHO_{ (l) } \; + \; 2 \; [Ag(NH_{ 3 })_{ 2 }]^{ + }_{ (aq) } \; + \; 3 \; OH^{ – }_{ (aq) } \; \rightarrow \; 2 \; Ag_{ (s) } \; + \; HCOO^{ – }_{ (aq) } \; + \; 4 \; NH_{ 3 \; (aq) } \; + \; 2 \; H_{ 2 }O_{ (l) }\)

(iii) \(HCHO_{ (l) } \; + \; 2 \; Cu^{ 2+ }_{ (aq) } \; + \; 5 \; OH^{ – }_{ (aq) } \; \rightarrow \; Cu_{ 2 }O_{ (s) } \; + \; HCOO^{ – }_{ (aq) } \; + \; 3 \; H_{ 2 }O_{ (l) }\)

(iv) \(N_{ 2 }H_{ 4 \; (l) } \; + \; 2 \; H_{ 2 }O_{ 2 \; (l) } \; \rightarrow \; N_{ 2 \; (g) } \; + \; 4 \; H_{ 2 }O_{ (l) }\)

(v) \(Pb_{ (s) } \; + \; PbO_{ 2 \; (s) } \; + \; 2 \; H_{ 2 }SO_{ 4 \; (aq) } \; \rightarrow \; 2 \; PbSO_{ 4 \; (aq) } \; + \; 2 \; H_{ 2 }O_{ (l) }\)

Answer:

(i) \(2 \; AgBr_{ (s) } \; + \; C_{ 6 }H_{ 6 }O_{ 2 \; (aq) } \; \rightarrow \; 2 \; Ag_{ (s) } \; + \; 2 \; HBr_{ (aq)} \; + \; C_{ 6 }H_{ 4 }O_{ 2 \; (aq) }\)

\(C_{ 6 }H_{ 6 }O_{ 2 }\) => Oxidized substance

AgBr => Reduced substance

AgBr =>Oxidizing agent

\(C_{ 6 }H_{ 6 }O_{ 2 }\) => Reducing agent

(ii) \(HCHO_{ (l) } \; + \; 2 \; [Ag(NH_{ 3 })_{ 2 }]^{ + }_{ (aq) } \; + \; 3 \; OH^{ – }_{ (aq) } \; \rightarrow \; 2 \; Ag_{ (s) } \; + \; HCOO^{ – }_{ (aq) } \; + \; 4 \; NH_{ 3 \; (aq) } \; + \; 2 \; H_{ 2 }O_{ (l) }\)

HCHO => Oxidized substance

\([Ag(NH_{ 3 })_{ 2 }]^{ + }\) => Reduced substance

\([Ag(NH_{ 3 })_{ 2 }]^{ + }\) => Oxidizing agent

HCHO=> Reducing agent

(iii) \(HCHO_{ (l) } \; + \; 2 \; Cu^{ 2+ }_{ (aq) } \; + \; 5 \; OH^{ – }_{ (aq) } \; \rightarrow \; Cu_{ 2 }O_{ (s) } \; + \; HCOO^{ – }_{ (aq) } \; + \; 3 \; H_{ 2 }O_{ (l) }\)

HCHO => Oxidized substance

\(Cu^{ 2+ }\) => Reduced substance

\(Cu^{ 2+ }\) => Oxidizing agent

HCHO => Reducing agent

(iv) \(N_{ 2 }H_{ 4 \; (l) } \; + \; 2 \; H_{ 2 }O_{ 2 \; (l) } \; \rightarrow \; N_{ 2 \; (g) } \; + \; 4 \; H_{ 2 }O_{ (l) }\)

\(N_{ 2 }H_{ 4 }\) => Oxidized substance

\(H_{ 2 }O_{ 2 }\) => Reduced substance

\(H_{ 2 }O_{ 2 }\) => Oxidizing agent

\(N_{ 2 }H_{ 4 }\) => Reducing agent

(v) \(Pb_{ (s) } \; + \; PbO_{ 2 \; (s) } \; + \; 2 \; H_{ 2 }SO_{ 4 \; (aq) } \; \rightarrow \; 2 \; PbSO_{ 4 \; (aq) } \; + \; 2 \; H_{ 2 }O_{ (l) }\)

Pb=> Oxidized substance

\(PbO_{ 2 }\) => Reduced substance

\(PbO_{ 2 }\) => Oxidizing agent

Pb => Reducing agent

14. Consider the given reactions:

\(2 \; S_{ 2 }O^{ 2- }_{ 3 \; (aq) } \; + \; I_{ 2 \; (s) } \; \rightarrow \; S_{ 4 }O^{ 2- }_{ 6 \; (aq) } \; + \; 2 \; I^{ – }_{ (aq) }\)

\(S_{ 2 }O^{ 2- }_{ 3 \; (aq) } \; + \; 2 \; Br_{ 2 \; (l) } \; + \; 5 \; H_{ 2 }O_{ (l) } \; \rightarrow \; 2 \; SO^{ 2- }_{ 4 \; (aq) } \; + \; 4 \; Br^{ – }_{ (aq) } \; + \; 10 \; H^{ + }_{ (aq) }\)

Thiosulphate, the reductant, react differently with bromine and iodine. Why?

Answer:

The average oxidation no. of S in\(S_{ 2 }O_{ 3 }^{ 2- }\) is +2.

The average oxidation no. of S in\(S_{ 4 }O_{ 6 }^{ 2- }\) is +2.5.

The oxidation no. of S in\(S_{ 2 }O_{ 3 }^{ 2- }\) is +2.

The oxidation no. of S in\(SO_{ 4 }^{ 2- }\) is +6.

As \(Br_{ 2 }\) is a stronger oxidizing agent than \(I_{ 2 }\), it oxidizes S of \(S_{ 2 }O_{ 3 }^{ 2- }\) to a higher oxidation no. of +6 in \(SO_{ 4 }^{ 2- }\).

As \(I_{ 2 }\) is a weaker oxidizing agent so it oxidizes S of \(S_{ 2 }O_{ 3 }^{ 2- }\) ion to a lower oxidation no. that is 2.5 in \(S_{ 4 }O_{ 6 }^{ 2- }\) ions.

Thus, thiosulphate react differently with \(I_{ 2 }\) and \(Br_{ 2 }\).

15.Among halogens, fluorine is the best oxidant and among hydrohalic compounds, hydroiodic acid is the best reductant.Justift this statement with the help of examples

Answer:

\(F_{ 2 }\) can oxidize \(Cl^{ – }\) to \(Cl_{ 2 }\), \(Br^{ – }\) to \(Br_{ 2 }\), and \(I^{ – }\) to \(I_{ 2 }\) as:

\(F_{ 2 \; (aq) } \; + \; 2 \; Cl^{ – }_{ (s) } \; \rightarrow \; 2 \; F^{ – }_{ (aq) } \; + \; Cl_{ 2 \; (g) }\)

\(F_{ 2 \; (aq) } \; + \; 2 \; Br^{ – }_{ (aq) } \; \rightarrow \; 2 \; F^{ – }_{ (aq) } \; + \; Br_{ 2 \; (l) }\)

\(F_{ 2 \; (aq) } \; + \; 2 \; I^{ – }_{ (aq) } \; \rightarrow \; 2 \; F^{ – }_{ (aq) } \; + \; I_{ 2 \; (s) }\)

But, \(Cl_{ 2 }\), \(Br_{ 2 }\), and \(I_{ 2 }\) cannot oxidize \(F^{ – }\) to \(F_{ 2 }\). The oxidizing power of halogens increases in the order as given below:

\(I_{ 2 }\)< \(Br_{ 2 }\)< \(Cl_{ 2 }\)<\(F_{ 2 }\)

Therefore, fluorine is the best oxidant among halogens.

\(HI\) and \(HBr\) can reduce \(H_{ 2 }SO_{ 4 }\) to \(SO_{ 2 }\), but \(HCl\) and \(HF\) cannot. Hence, \(HI\) and \(HBr\) are stronger reductants compared to \(HCl\) and \(HF\).

\(2 \; HI \; + \; H_{ 2 }SO_{ 4 } \; \rightarrow \; I_{ 2 } \; + \; SO_{ 2 } \; + \; 2 \; H_{ 2 }O\)

\(2 \; HBr \; + \; H_{ 2 }SO_{ 4 } \; \rightarrow \; Br_{ 2 } \; + \; SO_{ 2 } \; + \; 2 \; H_{ 2 }O\)

\(I^{ – }\) can reduce \(Cu^{ 2+ }\) to \(Cu^{ + }\), but \(Br^{ – }\) cannot.

\(4 \; I^{ – }_{ (aq) } \; + \; 2 \; Cu^{ 2+ }_{ (aq) } \; \rightarrow \; Cu_{ 2 }I_{ 2 \; (s) } \; + \; I_{ 2 \; (aq) }\)

Therefore, hydrochloric acid is the best reductant among hydrohalic compounds.

Hence, the reducing power of hydrohalic acids increases as given below:

\(HF\)< \(HCl\)< \(HBr\)<\(HI\)

16. Why does the given reaction occur?

\(XeO^{ 4- }_{ 6 \; (aq) } \; + \; 2 \; F^{ – }_{ (aq) } \; + \; 6 \; H^{ + }_{ (aq) } \; \rightarrow \; XeO_{ 3 \; (g) } \; + \; F_{ 2 \; (g) } \; + \; 3 \; H_{ 2 }O_{ (l) }\)

What conclusion can be drawn about the compound \(Na_{ 4 }XeO_{ 6 }\) ( of which \(XeO_{ 6 }^{ 4- }\) is a part) from the reaction?

Answer:

\(XeO^{ 4- }_{ 6 \; (aq) } \; + \; 2 \; F^{ – }_{ (aq) } \; + \; 6 \; H^{ + }_{ (aq) } \; \rightarrow \; XeO_{ 3 \; (g) } \; + \; F_{ 2 \; (g) } \; + \; 3 \; H_{ 2 }O_{ (l) }\)

The oxidation no. of Xe reduces from +8 in \(XeO_{ 6 }^{ 4- }\) to +6 in \(XeO_{ 3 }\).

The oxidation no. of F increases from -1 in \(F^{ – }\) to 0 in \(F_{ 2 }\).

Hence, \(XeO_{ 6 }^{ 4- }\) is reduced on the other hand \(F^{ – }\) is oxidized. As \(Na_{ 2 }XeO_{ 6 }^{ 4- }\) (or \(XeO_{ 6 }^{ 4- }\)) is a stronger oxidizing agent compared to \(F_{ 2 }\), this reaction occurs.

17. Consider the following reactions:

(i) \(H_{ 3 }PO_{ 2 \; (aq) } \; + \; 4 \; AgNO_{ 3 \; (aq) } \; + \; 2 \; H_{ 2 }O_{ (l) } \; \rightarrow \; H_{ 3 }PO_{ 4 \; (aq) } \; + \; 4 \; Ag_{ (s) } \; + \; 4 \; HNO_{ 3 \; (aq) }\)

(ii) \(H_{ 3 }PO_{ 2 \; (aq) } \; + \; 2 \; CuSO_{ 4 \; (aq) } \; + \; 2 \; H_{ 2 }O_{ (l) } \; \rightarrow \; H_{ 3 }PO_{ 4 \; (aq) } \; + \; 2 \; Cu_{ (s) } \; + \; H_{ 2 }SO_{ 4 \; (aq) }\)

(iii) \(C_{ 6 }H_{ 5 }CHO_{ (l) } \; + \; 2 \; [Ag(NH_{ 3 })_{ 2 }]^{ + }_{ (aq) } \; + \; 3 \; OH^{ – }_{ (aq) } \; \rightarrow \; C_{ 6 }H_{ 5 }COO^{ – }_{(aq)} \; + \; 2\; Ag_{ (s) } \; + \; 4 \; NH_{ 3 \; (aq)} \; + \; 2 \; H_{ 2 }O_{ (l) }\)

(iv) \(C_{ 6 }H_{ 5 }CHO_{ (l) } \; + \; 2 \; Cu^{ 2+ }_{ (aq) } \; + \; 5 \; OH^{ – }_{ (aq) } \; \rightarrow\) No change is observed

What can you inference from the reactions about the behavior of \(Ag^{ + }\) and \(Cu^{ 2+ }\)?

Answer:

\(Ag^{ + }\) and \(Cu^{ 2+ }\) behaves as oxidizing agent in reactions (i) and (ii) respectively.

In reaction (iii), \(Ag^{ + }\) oxidizes \(C_{ 6 }H_{ 5 }CHO\) to \(C_{ 6 }H_{ 5 }COO^{ – }\)

In reaction (iv), \(Cu^{ 2+ }\) cannot oxidize \(C_{ 6 }H_{ 5 }CHO\).

Therefore, \(Ag^{ + }\) is a stronger oxidizing agent compared to \(Cu^{ 2+ }\).

18. Balance the given redox reactions with the help of ion – electron method

(i) \(MnO^{ – }_{ 4 \; (aq) } \; + \; I_{ (aq) }^{ – } \; \rightarrow \; MnO_{ 2 \; (s) } \; + \; I_{ 2 \; (s) }\) (Basic medium)

(ii) \(MnO^{ – }_{ 4 \; (aq) } \; + \; SO_{ 2 \; (g) } \; \rightarrow \; Mn^{ 2+ }_{ (aq) } \; + \; H_{ 2 }SO_{ 4 }^{ – }\) (Acidic medium)

(iii) \(H_{ 2 }O_{ 2 \; (aq) } \; + \; Fe^{ 2+ }_{ (aq) } \; \rightarrow \; Fe_{ (aq) }^{ 3+ } \; + \; H_{ 2 }O_{ (l) }\) (Acidic medium)

(iv) \(Cr_{ 2 }^{ 2- }O_{ 7 \; (aq) } \; + \; SO_{ 2 \; (g) } \; \rightarrow \; Cr^{ 3+ }_{ (aq) } \; + \; SO^{ 2- }_{ (aq) }\) (Acidic medium)

Answer:

(i) \(MnO^{ – }_{ 4 \; (aq) } \; + \; I_{ (aq) }^{ – } \; \rightarrow \; MnO_{ 2 \; (s) } \; + \; I_{ 2 \; (s) }\)

Step 1

The two half reactions are given below:

Oxidation half reaction: \(I_{ (aq) } \; \rightarrow \; I_{ 2 \; (s) }\)

Reduction half reaction: \(MnO_{ 4 }^{ – } \; \rightarrow \; MnO_{ 2 }\)

Step 2

Balance I in oxidation half reaction:

\(2 \; I^{ – }_{(aq)} \; \rightarrow \; I_{ 2 \; (s) }\)

Add 2 \(e^{ – }\) to the right hand side of the reaction to balance the charge:

\(2I^{ – }_{ (aq) } \; \rightarrow \; I_{ 2 \; (s) } \; + \; 2 \; e^{ – }\)

Step 3

The oxidation no. of Mn has decreased from +7 to +4 in the reduction half reaction. Therefore, 3 electrons are added to the left hand side of the reaction.

\(MnO^{ – }_{ 4 \; (aq) } \; + \; 3 \; e^{ – } \; \rightarrow \; MnO_{ 2 \; (aq)}\)

Add 4 \(OH^{ – }\) ions to right hand side of the reaction to balance the charge.

\(MnO^{ – }_{ 4 \; (aq) } \; + \; 3 \; e^{ – } \; \rightarrow \; MnO_{ 2 \;(aq)} \; + \; 4 \; OH^{ – }\)

Step 4

There are 6 oxygen atoms on the right hand side and 4 oxygen atoms on the left hand side. Hence, 2 water molecules are added to the left hand side.

\(MnO^{ – }_{ 4 \; (aq) } \; + \; 2 \; H_{ 2 }O \; + \; 3\; e^{ – }\; \rightarrow \; MnO_{ 2 \; (aq) } \; + \; 4 OH^{ – }\)

Step 5

Equal the no. of electrons on both the sides by multiplying oxidation half reaction by 3 and reduction half reaction by 2:

\(6 \; I_{ (aq) }^{ – } \; \rightarrow \; 3 \; I_{ 2 \; (s)} \; + \; 6 \; e^{ – }\)

\(2 \; MnO^{ – }_{ 4 \; (aq) } \; + \; 4 \; H_{ 2 }O \; + \; 6\; e^{ – } \; \rightarrow 2 \; MnO_{ 2 \; (s)} \; + \; 8\; OH^{ – }_{ (aq) }\)

Step 6

After adding both the half reactions, we get the balanced reaction as given below:

\(6 \; I_{ (aq) }^{ – } \; + \; 2 \; MnO^{ – }_{ 4 \; (aq) } \;+ \; 4 \; H_{ 2 }O_{ (l) } \; \rightarrow \; 3 \; I_{ 2 \; (s)} \; + \; 2 \; MnO_{ 2 \; (s)} \; + \; 8\; OH^{ – }_{ (aq) }\)

(ii) \(MnO^{ – }_{ 4 \; (aq) } \; + \; SO_{ 2 \; (g) } \; \rightarrow \; Mn^{ 2+ }_{ (aq) } \; + \; H_{ 2 }SO_{ 4 }^{ – }\)

Step 1

Similar to (i), oxidation half reaction is:

\(SO_{ 2 \; (g) } \; + \; 2\; H_{ 2 }O_{ (l) } \; \rightarrow \; HSO^{ – }_{ 4 \; (aq) } \; + \; 3 \; H^{ + }_{ (aq) } \; + \; 2 \; e^{ – }_{ (aq) }\)

Step 2

Reduction half reaction is:

\(MnO^{ – }_{ 4 \; (aq) } \; + \; 8\; H^{ + }_{ (aq) } \; + \; 5 \; e^{ – } \; \rightarrow \; Mn^{ 2+ }_{ (aq) } \; + \; 4 \; H_{ 2 }O_{ (l) }\)

Step 3

Multiply the oxidation half reaction with 5 and the reduction half reaction with 2, then add them. We get the balanced reaction as given below:

\(2 \; MnO^{ – }_{ 4 \; (aq) } \; + \; 5 \; SO_{ 2 \; (g) } \; + \; 2\; H_{ 2 }O_{ (l) } \; +\; H^{ + }_{ (aq) } \; \rightarrow \; 2 \; Mn^{ 2+ }_{ (aq) } \; + \; 5 \; HSO^{ – }_{ 4 \; (aq) }\)

(iii) \(H_{ 2 }O_{ 2 \; (aq) } \; + \; Fe^{ 2+ }_{ (aq) } \; \rightarrow \; Fe_{ (aq) }^{ 3+ } \; + \; H_{ 2 }O_{ (l) }\)

Step 1

Similar to (i), oxidation half reaction is:

\(Fe^{ 2+ }_{ (aq) } \; \rightarrow \; Fe_{ (aq) }^{ 3+ } \; + \; e^{ – }\)

Step 2

Reduction half reaction is:

\(H_{ 2 }O_{ 2 \; (aq) } \; + \; 2\; H_{ (aq) }^{ + } \; + \; 2\; e^{ – } \; \rightarrow \; 2\; H_{ 2 }O_{ (l) }\)

Step 3

Multiply the oxidation half reaction with 2 then add it to the reduction half reaction. We get the balanced reaction as given below:

\(H_{ 2 }O_{ 2 \; (aq) } \; + \; 2 \;Fe^{ 2+ }_{ (aq) } \; 2\; H_{ (aq) }^{ + } \; \rightarrow \; 2 \;Fe_{ (aq) }^{ 3+ }2\; H_{ 2 }O_{ (l) }\)

(iv) \(Cr_{ 2 }^{ 2- }O_{ 7 \; (aq) } \; + \; SO_{ 2 \; (g) } \; \rightarrow \; Cr^{ 3+ }_{ (aq) } \; + \; SO^{ 2- }_{ (aq) }\)

Step 1

Similar to (i), oxidation half reaction is:

\(SO_{ 2 \; (g) } \; + \; 2 \; H_{ 2 }O_{ (l) } \; \rightarrow \; SO^{ 2- }_{ 4 \; (aq) } \; + \; 4 \; H_{ (aq) }^{ + } \; + \; 2 \; e^{ – }\)

Step 2

Reduction half reaction is:

\(Cr_{ 2 }O^{ 2- }_{ 7 \; (aq) } \; + \; 14 \; H^{ + }_{ (aq) } \; + \; 6 \; e^{ – } \; \rightarrow \; 2 \; Cr_{ (aq) }^{ 3+ } \; + \; 7 \; H_{ 2 }O_{(l)}\)

Step 3

Multiply the oxidation half reaction with 2 then add it to the reduction half reaction. We get the balanced reaction as given below:

\(Cr_{ 2 }^{ 2- }O_{ 7 \; (aq) } \; + \;3 \; SO_{ 2 \; (g) } \; + \; 2 \; H^{ + }_{ (aq) } \; \rightarrow \; 2 \; Cr_{ (aq) }^{ 3+ } \; + \;3 \; SO^{ 2- }_{ 4 \; (aq) } \;+ \; H_{ 2 }O_{(l)}\)

19. Balance the given redox reactions with the help of ion – electron method and oxidation no. methods. Identify the reducing agent and oxidizing agent.

(i) \(P_{ 4 \; (s) } \; + \; OH^{ – }_{ (aq) } \; \rightarrow \; PH_{ 3 \; (g) } \; + \; HPO^{ – }_{ 2 \; (aq) }\)

(ii) \(N_{ 2 }H_{ 4 \; (l) } \; + \; ClO^{ – }_{ 3 \; (aq) } \; \rightarrow \; NO_{ (g) } \; + \; Cl_{ (g) }^{ – }\)

(iii) \(Cl_{ 2 }O_{ 7 \; (g) } \; + \; H_{ 2 }O_{ 2 \; (aq) } \; \rightarrow \; ClO^{ – }_{ 2 \; (aq) } \; + \;O_{ 2 \; (g) } \; + \; H^{ + }_{ (aq) }\)

Answer:

(i) The Oxidation no. of P reduces from 0 in \(P_{ 4 }\) to – 3 in \(PH_{ 3 }\)

The oxidation no. of P increases from 0 in \(P_{ 4 }\) to + 2 in \(HPO_{ 2 }^{ – }\). Therefore, \(P_{ 4 }\) behaves both as areducing agent as well asoxidizing agent in the reaction.

Ion – electron method:

– The oxidation half reaction:

\(P_{ 4 \; (s) } \; \rightarrow \; HPO^{ – }_{ 2 \; (aq) }\)

– Balance atom P:

\(P_{ 4 \; (s) } \; \rightarrow \;4 \; HPO^{ – }_{ 2 \; (aq) }\)

– Add 8 electrons to balance oxidation no.

\(P_{4\;(s)}\;\rightarrow \;4 \; HPO^{ – }_{ 2 \; (aq) } \; + \; 8 \; e^{ – }\)

– Add \(12 \; OH^{ – }\) to balance the charge:

\(P_{4\;(s)}\;+\;12\;OH^{-}_{(aq)}\;\rightarrow\;4\;HPO^{-}_{2\;(aq)}\;+\;8\;e^{-}\)

– Add 4 \(H_{ 2 }O\) to balance H and O atoms:

\(P_{ 4 \; (s) } \; + \; 12 \; OH^{-}_{ (aq) } \; \rightarrow \;4 \; HPO^{ – }_{ 2 \; (aq) } \; + \; 4 \; H_{ 2 }O_{ (l) } \; + \; 8 \; e^{ – }\) ———-(1)

– The reduction half reaction:

\(P_{ 4 \; (s) } \; \rightarrow \; PH_{ 3 \; (g) }\)

– Balance atom P:

\(P^{0}_{ 4 \; (s) } \; \rightarrow \;4 \; P^{-3} H_{ 3 \; (g) }\)

– Add 12 electrons to balance oxidation no.

\(P_{4\;(s)}\;+\;12\;e^{-}\;\rightarrow\;4\;PH_{3\;(g)}\)

– Add \(12 \; OH^{ – }\) to balance the charge:

\(P_{4\;(s)}\;+\;12\;e^{-}\;\rightarrow\;4\;PH_{3\;(g)}\;+\;12\;OH^{-}_{(aq)}\)

– Add 12 \(H_{ 2 }O\) to balance H and O atoms:

\(P_{4\;(s)}\;+\;12\;H_{2}O_{(l)}\;+\;12\;e^{-}\;\rightarrow\;4\;PH_{3\;(g)} \;+\;12\;OH^{-}_{(aq)}\) ———- (2)

– Now, multiply the equation (1) by 3 and equation (2) by 2. Then, after adding them, we get the balanced redox reaction as given below:

\(5\;P_{4\;(s)}\;+\; 12 \; H_{ 2 }O_{ (l) } \; + \; 12 \; HO^{ – }_{ (aq) } \; \rightarrow \;8 \; PH_{ 3 \; (g) } \; + \; 12 \; HPO^{ – }_{ 2 \; (aq ) }\)

(ii)

The Oxidation no. of N increases from -2 in \(N_{ 2 }H_{ 4 }\) to –+2 in NO.

The oxidation no. of Cl reduces from +5 in \(ClO_{ 3 }^{ – }\) to +-1 in \(Cl^{ – }\).

Therefore, \(N_{ 2 }H_{ 4 }\)behaves as a reducing agent while \(ClO_{ 3 }^{ – }\) behaves as an oxidizing agent in the reaction.

Ion – electron method:

– The oxidation half reaction:

\(N_{2}H_{4\; (l) } \; \rightarrow \; NO_{ (g) }\)

– Balance atom N:

\(N_{2}H_{4\;(l)}\; \rightarrow\;2\;NO_{(g)}\)

– Add 8 electrons to balance oxidation no:

\(N_{2}H_{4 \; (l) } \; \rightarrow \; 2 \; NO_{ (g) } \; + \; 8 \; e^{-}\)

– Add \(8 \; OH^{ – }\) to balance the charge:

\(N_{2}H_{ 4 \; (l) } \; + \; 8 \; OH^{ – }_{ (aq) } \; \rightarrow \; 2\;NO_{(g)} \; + \; 8 \; e^{-}\)

– Add 6 \(H_{ 2 }O\) to balance O atoms:

\(N_{2}H_{4\;(l)} \; + \; 8\; OH^{-}_{(aq)} \; \rightarrow \; 2\;NO_{(g)} \; + \; 6 \; H_{2}O_{(l)} \; + \; 8 \; e^{-}\) ——— (1)

– The reduction half reaction:

\(ClO_{ 3 \; (aq) }^{ – } \; \rightarrow \; Cl_{ (aq) }^{ – }\)

– Add 6 electrons to balance oxidation no.

\(ClO_{3\;(aq)}^{-} \; + \; 6 \; e^{-} \; \rightarrow \; Cl_{(aq)}^{-}\)

– Add \(6 \; OH^{ – }\) ions to balance the charge:

\(ClO_{3\;(aq)}^{-} \; + \; 6 \; e^{-} \; \rightarrow \; Cl_{(aq)}^{-} \; + \; 6 \; OH^{-}_{(aq)}\)

– Add 3 \(H_{ 2 }O\) to balance O atoms:

\(ClO_{3\;(aq)}^{-} \; + \; 3\; H_{2}O_{(l)} \; + \; 6 \; e^{-} \; \rightarrow \; Cl_{(aq)}^{-} \; + \; 6 \; OH^{-}_{(aq)}\) ——— (2)

Now, multiply the equation (1) by 3 and equation (2) by 4. Then, after adding them, we get the balanced redox reaction as given below:

\(3 \; N_{ 2 }H_{ 4 \; (l) } \; + \; 4 \; ClO_{ 3 \; (aq) }^{ – } \; \rightarrow \;6 \; NO_{ (g) }\; + \; 4 \; Cl_{ (aq) }^{ – } \; + \; 6 \; H_{ 2 }O_{ (l) }\)

Oxidation number method:

– Reduction in the oxidation no. of N = 2 × 4 = 8

– Increment in the oxidation no. of Cl = 1 × 6 = 6

Multiply \(N_{ 2 }H_{ 4 }\) by 3 and \(ClO_{ 3 }^{ – }\) by 4 to balance the reduction and increment of the oxidation no. :

\(3 \; N_{ 2 }H_{ 4 \; (l) } \; + \; 4 \; ClO^{ – }_{ 3 \; (aq) } \; \rightarrow \; NO_{ (g) } \; + \; Cl^{ – }_{ (aq) }\)

– Balance Cl and n atoms:

\(3 \; N_{ 2 }H_{ 4 \; (l) } \; + \; 4 \; ClO^{ – }_{ 3 \; (aq) } \; \rightarrow \; 6 \; NO_{ (g) } \; + \; 4 \; Cl^{ – }_{ (aq) }\)

– Add 6 \(H_{ 2 }O\) to balance O atoms:

\(3 \; N_{ 2 }H_{ 4 \; (l) } \; + \; 4 \; ClO^{ – }_{ 3 \; (aq) } \; \rightarrow \; 6 \; NO_{ (g) } \; + \; 4 \; Cl^{ – }_{ (aq) } \; + \; 6 \; H_{ 2 }O_{ (l) }\)

This is the required reaction equation.

(iii)

The Oxidation no. of Cldecreases from +7 in \(Cl_{ 2 }O_{ 7 }\)to +3 in \(ClO_{ 2 }^{ – }\).

The oxidation no. of Oincreases from -1 in \(H_{ 2 }O_{ 2 }\) to 0 in \(O_{ 2 }\).

Therefore, \(H_{ 2 }O_{ 2 }\)behaves as a reducing agent while \(Cl_{ 2 }O_{ 7 }\)behaves as an oxidizing agent in the reaction.

Ion – electron method:

– The oxidation half reaction:

\(H_{ 2 }O_{ 2 \; (aq) } \; \rightarrow \; O_{ 2 \; (g) }\)

– Add 2 electrons to balance oxidation no:

\(H_{ 2 }O_{ 2 \; (aq) } \; \rightarrow \; O_{ 2 \; (g) } \; + \; 2 \; e^{ – }\)

– Add \(2 \; OH^{ – }\) to balance the charge:

\(H_{ 2 }O_{ 2 \; (aq) } \; + \; 2 \; OH^{ – }_{ (aq) } \rightarrow \; O_{ 2 \; (g) } \; + \; 2 \; e^{ – }\)

– Add 2 \(H_{ 2 }O\) to balance O atoms:

\(H_{ 2 }O_{ 2 \; (aq) } \; + \; 2 \; OH^{ – }_{ (aq) } \rightarrow \; O_{ 2 \; (g) } \; + \; 2 \; H_{ 2 }O_{ (l) } \; + \; 2 \; e^{ – }\) ——– (1)

– The reduction half reaction:

\(Cl_{ 2 }O_{ 7 \; (g) } \; \rightarrow \; ClO^{ – }_{ 2 \; (aq) }\)

– Balance Cl atoms:

\(Cl_{ 2 }O_{ 7 \; (g) } \; \rightarrow \; 2 \; ClO^{ – }_{ 2 \; (aq) }\)

– Add 8 electrons to balance oxidation no.

\(Cl_{ 2 }O_{ 7 \; (g) } \; + \; 8\; e^{ – } \; \rightarrow \; 2 \; ClO^{ – }_{ 2 \; (aq) }\)

– Add \(6 \; OH^{ – }\) ions to balance the charge:

\(Cl_{ 2 }O_{ 7 \; (g) } \; + \; 8\; e^{ – } \; \rightarrow \; 2 \; ClO^{ – }_{ 2 \; (aq) } \; + \;6 \; OH^{ – }_{ (aq) }\)

– Add 3 \(H_{ 2 }O\) to balance O atoms:

\(Cl_{ 2 }O_{ 7 \; (g) } \; + \; 3 \; H_{ 2 }O_{ (l) } \; + 8\; e^{ – } \; \rightarrow \; 2 \; ClO^{ – }_{ 2 \; (aq) } \; + \;6 \; OH^{ – }_{ (aq) }\)

Now, multiply the equation (1) by 4. Then, adding equation (1) and (2), we get the balanced redox reaction as given below:

\(Cl_{ 2 }O_{ 7 \; (g) } \; + \; 4 \; H_{ 2 }O_{ 2 \; (aq) } \; + 2\; OH^{ – }_{ (aq) } \; \rightarrow \; 2 \; ClO^{ – }_{ 2 (aq) } \; + \; 4 \; O_{ 2 \; (g) } \; + \; 5 \; H_{ 2 }O_{ (l) }\)

Oxidation number method:

– Reduction in the oxidation no. of \(Cl_{ 2 }O_{ 7 }\) = 4× 2 = 8

– Increment in the oxidation no. of \(H_{ 2 }O_{ 2 }\) = 2× 1 = 2

Multiply \(H_{ 2 }O_{ 2 }\) by 4 and \(O_{ 2 }\) by 4 to balance the reduction and increment of the oxidation no. :

\(3 \; N_{ 2 }H_{ 4 \; (l) } \; + \; 4 \; ClO^{ – }_{ 3 \; (aq) } \; \rightarrow \; NO_{ (g) } \; + \; Cl^{ – }_{ (aq) }\)

– Balance Cl and n atoms:

\(Cl_{ 2 }O_{ 7 \; (g) } \; + \; 4 \; H_{ 2 }O_{ 2 \; (aq) } \; \rightarrow \; 2\; ClO^{ – }_{ 2 \;(aq) } \; + \; 4 \; O_{ 2 \; (g) }\)

– Add 3 \(H_{ 2 }O\) to balance O atoms:

\(Cl_{ 2 }O_{ 7 \; (g) } \; + \; 4 \; H_{ 2 }O_{ 2 \; (aq) } \; \rightarrow \; 2 \; ClO^{ – }_{ 2 (aq) } \; + \; 4 \; O_{ 2 (g) } \; + \; 3 \; H_{ 2 }O_{ (l) }\)

– Add \(2 \; OH^{ – }\) and \(2 \; H_{ 2 }O\) to balance H atoms:

\(Cl_{ 2 }O_{ 7 \; (g) } \; + \; 4 \; H_{ 2 }O_{ 2 \; (aq) } \; 2 \; OH^{ – }_{ (aq) } \; \rightarrow \; 2 \; ClO^{ – }_{ 2 \; (aq) } \; + \; 4 \; O_{ 2 \; (g) } \; + \; 5 \; H_{ 2 }O_{ (l) }\)

This is the required reaction equation.

20.What information can be drawn from the reactions given?

\((CN)_{ 2 \; (g) } \; + \; 2 \; OH^{ – }_{ (aq) } \; \rightarrow \; CN_{ (aq) }^{ – } \; + \; CNO_{ (aq) }^{ – } \; + \; H_{ 2 }O_{ (l) }\)

Answer:

The oxidation no. of C in \((CN)_{ 2 }\), \(CN^{ – }\) and \(CNO^{ – }\) are +3, +2 and +4 respectively.

Let the oxidation no. of C be y.

\((CN)_{ 2 }\)

2(y – 3) = 0

Therefore, y = 3

\(CN^{ – }\)

y – 3 = -1

Therefore, y = 2

\(CNO^{ – }\)

y – 3 -2 = -1

Therefore, y = 4

The oxidation no. of C in the reaction is:

Oxidation no. of C in \((CN)_{ 2 }\) is +3

Oxidation no. of C in \(CN^{ – }\) is +2

Oxidation no. of C in \(CNO^{ – }\) is +4

We can see that the same compound is oxidized and reduced simultaneously in the reaction.

The reactions in which the same compound is oxidized and reduced is known as disproportionation reaction. Then, we can say that alkaline decomposition of cyanogens is a disproportionation reaction.

21. \(Mn^{ 3+ }\) ion is unstable in solution and undergoes disproportionation to give Mn2+, MnO2, and H+ ion. Write a balanced ionic equation for the reaction.

Answer:

The reaction is as given below:

\(Mn^{ 3+ }_{ (aq) } \; \rightarrow \; Mn^{ 2+ }_{ (aq) } \; + \; MnO_{ 2 \; (s) } \; + \; H^{ + }_{ (aq) }\)

The oxidation half reaction:

\(Mn^{ 3+ }_{ (aq) } \; \rightarrow \; MnO_{ 2 \; (s) }\)

Add 1 electron to balance the oxidation no. :

\(Mn^{ 3+ }_{ (aq) } \; \rightarrow \; MnO_{ 2 \; (s) } \;+ \; e^{ – }\)

Add \(4 \; H^{ + }\) ions to balance the charge:

\(Mn^{ 3+ }_{ (aq) } \; \rightarrow \; MnO_{ 2 \; (s) } \;+ \; e^{ – }\; + \; 4 \; H^{ + }_{ (aq) }\)

Add 2 \(H_{ 2 }O\) to balance O atoms and \(H^{ + }\) ions:

\(Mn^{ 3+ }_{ (aq) } \; + \; 2 \; H_{ 2 }O_{ (l) } \; \rightarrow \; MnO_{ 2 \; (s) } \;+ \; e^{ – }\; + \; 4 \; H^{ + }_{ (aq) }\) ———— (1)

The reduction half reaction:

\(Mn^{ 3+ }_{ (aq) } \; \rightarrow \; Mn^{ 2+ }_{ (aq) }\)

Add 1 electron to balance the oxidation no. :

\(Mn^{ 3+ }_{ (aq) } \; + \; e^{ – } \; \rightarrow \; Mn^{ 2+ }_{ (aq) }\) ——— (2)

Add equation (1) and (2) to get the balanced chemical equation:

\(2 \; Mn^{ 3+ }_{ (aq) } \; + \; 2 \; H_{ 2 }O_{ (l) } \; \rightarrow \; MnO_{ 2 \;(s) } \; + \; 2 \; Mn^{ 2+ }_{ (aq) } \; + \; 4 \; H^{ + }_{ (aq) }\)

22.Consider the elements:

Cs, I, Ne and F

(i) Which element exhibit only negative oxidation no.?

(ii) Which element exhibit only positive oxidation no.?

(iii) Which element exhibit both negative and positive oxidation no.?

(iv) Which element exhibits neither negative nor positive oxidation no.?

Answer:

(i) F exhibits only negative oxidation no. That is -1.

(ii) Cs exhibits only positive oxidation no. That is +1.

(iii) I exhibits both negative and positive oxidation no. That is -1, +1, +3, +5 and +7.

(iv) Ne exhibits neither negative nor positive oxidation no. That is 0.

23. It is said that chlorine is harmful in excess. To purify water, chlorine is used. Hence, it becomes necessary to remove excess of chlorine from water for which, water is treated with sulphur dioxide. Obtain a balanced equation for this redox reaction:

Answer:

The redox reaction is as given below:

\(Cl_{ 2 \;(s)} \; + \; SO_{ 2\;(aq)} \; + \; H_{ 2 }O_{(l)} \; \rightarrow \; Cl^{ – }_{(aq)} \; + \; SO^{ 2- }_{ 4 \; (aq) }\)

The oxidation half reaction:

\(SO_{ 2 \;(aq)} \;\rightarrow \; SO^{ 2- }_{ 4 \; (aq) }\)

Add 2 electrons to balance the oxidation no. :

\(SO_{ 2 \;(aq)} \;\rightarrow \; SO^{ 2- }_{ 4 \; (aq) } \; + \; 2 \; e^{ – }\)

Add \(4 \; H^{ + }\) ions to balance the charge:

\(SO_{ 2 \;(aq)} \;\rightarrow \; SO^{ 2- }_{ 4 \; (aq) } \; + \;4 \; H^{ + }_{ (aq) } \;+ \; 2 \; e^{ – }\)

Add 2 \(H_{ 2 }O\) to balance O atoms and \(H^{ + }\) ions:

\(SO_{ 2 \;(aq)} \; + \; 2 \; H_{ 2 }O \; \rightarrow \; SO^{ 2- }_{ 4 \; (aq) } \; + \;4 \; H^{ + }_{ (aq) } \;+ \; 2 \; e^{ – }\) ——— (1)

The reduction half reaction:

\(Cl_{2\;(s)} \; \rightarrow Cl^{-}_{(aq)}\)

Balance Cl atoms:

\(Cl_{ 2 \; (s) } \; \rightarrow \; 2 \; Cl^{ – }_{ (aq) }\)

Add 2 electrons to balance the oxidation no. :

\(Cl_{ 2 \; (s) } \; + \; 2 \; e^{ – } \rightarrow \; 2 \; Cl^{ – }_{ (aq) }\) ——— (2)

Add equation (1) and (2) to get the balanced chemical equation:

\(Cl_{ 2 \; (s) }\; + \; SO_{ 2 \;(aq)} \; + \; 2 \; H_{ 2 }O_{ (l) } \; \rightarrow \; 2 \; Cl^{ – }_{ (aq) } \; + \; SO^{ 2- }_{ 4 \; (aq) } \; + \; 4 \; H^{ + }_{ (aq) }\)

24. Answer the given questions referring to the periodic table:

(i) Which non – metals can show disproportionation reaction?

(ii) Which three metals shows disproportionation reaction?

Answer:

One of the reacting elements always has an element that can exist in at least 3 oxidation numbers.

(i) The non – metals which can show disproportionation reactions are P, Cl and S.

(ii) The three metals which can show disproportionation reactions are Mn, Ga and Cu.

25. In Ostwald’s process for the manufacture of nitric acid, the first step involves the oxidation of ammonia gas by oxygen gas to give nitric oxide gas and steam. What is the maximum weight of nitric oxide that can be obtained starting only with 10.00 g. of ammonia and 20.00 g of oxygen?

Answer:

The balanced reaction is as given below:

\(4 \; NH_{ 3 \; (g) } \; + \; 5 \; O_{ 2 \; (g) } \; \rightarrow \; 4 \; NO_{ (g) } \; + \; 6 \; H_{ 2 }O_{ (g) }\)

\(4 \; NH_{ 3 }\) = 4 × 17 g = 68 g

\(5 \; O_{ 2 }\) = 5 × 32 g = 160 g

\(4 \; NO\) = 4 × 30 g = 120 g

\(6 \; H_{ 2 }O\) = 6 × 18 g = 108 g

Thus, \(NH_{ 3 }\) (68 g) reacts with \(O_{ 2 }\) ( 20 g )

Therefore, 10 g of \(NH_{ 3 }\) reacts with \(\frac{ 160 \; \times \; 10 }{ 68 }\) g = 23.53 g of \(O_{ 2 }\)

But only 20 g of \(O_{ 2 }\) is available.

Hence, \(O_{ 2 }\) is a limiting reagent.

Now, 160 g of \(O_{ 2 }\) gives \(\frac{ 120 \; \times \; 20}{ 160 }\) g of N = 15 g of NO.

Therefore, max of 15 g of nitric oxide can be obtained.

26. Predict whether the reaction is feasible or not between the given elements.

(i) \(Fe^{ 3+ }_{ (aq) }\) and \(I^{ – }_{ (aq) }\)

(ii)\(Ag^{ + }_{ (aq) }\) and \(Cu^{ }_{ (s) }\)

(iii) \(Fe^{ 3+ }_{ (aq) }\)and \(Cu^{ }_{ (s) }\)

(iv) \(Ag^{ }_{ (s) }\) and \(Fe^{ 3+ }_{ (aq) }\)

(v) \(Br_{ 2 \; (aq) }\) and \(Fe^{ 2+ }_{ (aq) }\)

Answer:

(i) \(Fe^{ 3+ }_{ (aq) }\) and \(I^{ – }_{ (aq) }\)

\(2 \; Fe_{ (aq) }^{ 3+ } \; + \; 2 \; I^{ – }_{ (aq) } \; \rightarrow \; 2 \; Fe_{ (aq) }^{ 2+ } \; + \; I_{ 2 \; (s) }\)

Oxidation half reaction: \(2 \; I^{ – }_{ (aq) } \; \rightarrow \; I_{ 2 \; (s) } \; + \; 2 \; e^{ – }\) ; \(E^{\circ} \; = \; -0.54V\)

Reduction half reaction: \([Fe_{ (aq) }^{ 3+ } \; + \; e^{ – } \; \rightarrow \; Fe_{ (aq) }^{ 2+ }] \; \times \; 2;\) ; \(E^{\circ} \; = \; +0.77V\)

\(2\; Fe_{ (aq) }^{ 3+ } \; + \;2 \; I^{ – } \; \rightarrow \; 2 \; Fe_{ (aq) }^{ 2+ } \; + \; I_{ 2 \; (s) };\); \(E^{\circ} \; = \; +0.23V\)

\(E^{\circ}\)for the overall reaction is positive. Therefore, the reaction between \(Fe_{ (aq) }^{ 3+ }\) and \(I^{ – }_{ (aq) }\) is feasible.

(ii) \(Ag^{ + }_{ (aq) }\) and \(Cu^{ }_{ (s) }\)

\(2 \; Ag^{ + }_{ (aq) } \; + \; Cu_{ (s) } \; \rightarrow \; 2 \; Ag_{ (s) } \; + \; Cu_{ (aq) }^{ 2+ }\)

Oxidation half reaction: \(Cu_{ (s) } \; \rightarrow \; Cu^{ 2+ }_{ (aq) } \; + \; 2 \; e^{ – }\); \(E^{\circ} \; = \; -0.34V\)

Reduction half reaction: \([Ag^{ + }_{ (aq) } \; + \; e^{ – } \; \rightarrow \; Ag_{ (s) }] \; \times \; 2\); \(E^{\circ} \; = \; +0.80V\)

\(2 \; Ag^{ + }_{ (aq) } \; + \; Cu_{ (s) } \; \rightarrow \; 2 \; Ag_{ (s) } \; + \; Cu^{ 2+ }\); \(E^{\circ} \; = \; +0.46V\)

\(E^{\circ}\) for the overall reaction is positive. Therefore, the reaction between \(Ag_{ (aq) }^{ + }\) and \(Cu_{ (s) }\) is feasible.

(iii) \(Fe^{ 3+ }_{ (aq) }\)and \(Cu^{ }_{ (s) }\)

\(2 \; Fe^{ 3+ }_{ (aq) } \; + \; Cu_{ (s) } \; \rightarrow \; 2 \; Fe^{ 2+ }_{ (s) } \; + \; Cu^{ 2+ }_{ (aq) }\)

Oxidation half reaction: \(Cu_{ (s) } \; \rightarrow \; Cu^{ 2+ }_{ (aq) } \; + \; 2 \; e^{ – }\); \(E^{\circ} \; = \; -0.34V\)

Reduction half reaction: \([Fe_{ (aq) }^{ 3+ }\; + \; e^{ – } \; \rightarrow \; Fe_{ (s) }^{ 2+ }] \; \times \; 2\); \(E^{\circ} \; = \; +0.77V\)

\(2 \; Fe_{ (aq) }^{ 3+ } \; + \; Cu_{ (s) } \; \rightarrow \; 2 \; Fe_{ (s) }^{ 2+ } \; + \; Cu_{ (aq) }^{ 2+ }\); \(E^{\circ} \; = \; +0.43V\)

\(E^{\circ}\) for the overall reaction is positive. Therefore, the reaction between \(Fe^{ 3+ }_{ (aq) }\)and \(Cu^{ }_{ (s) }\) is feasible.

(iv) \(Ag^{ }_{ (s) }\) and \(Fe^{ 3+ }_{ (aq) }\)

\(Ag_{ (s) } \; + \; 2 \; Fe_{ (aq) }^{ 3+ } \; \rightarrow \; Ag_{ (aq) }^{ + } \; + \; Fe_{ (aq) }^{ 2+ }\)

Oxidation half reaction: \(Ag_{ (s) } \; \rightarrow \; Ag_{ (aq) }^{ + } \; + \; e^{ – }\); \(E^{\circ} \; = \; -0.80V\)

Reduction half reaction: \(Fe_{ (aq) }^{ 3+ } \; + \; e^{ – } \; \rightarrow \; Fe_{ (aq) }^{ 2+ }\); \(E^{\circ} \; = \; +0.77V\)

\(Ag_{ (s) } \; + \; Fe_{ (aq) }^{ 3+ } \; \rightarrow \; Ag_{ (aq) }^{ + } \; + \; Fe_{ (aq) }^{ 2+ }\); \(E^{\circ} \; = \; -0.03V\)

\(E^{\circ}\) for the overall reaction is positive. Therefore, the reaction between \(Ag^{ }_{ (s) }\) and \(Fe^{ 3+ }_{ (aq) }\) is feasible.

(v) \(Br_{ 2 \; (aq) }\) and \(Fe^{ 2+ }_{ (aq) }\)

\(Br_{ 2 \; (s) } \; + \; 2 \; Fe_{ (aq) }^{ 2+ } \; \rightarrow \; 2 \; Br_{ (aq) }^{ – } \; + \; 2 \; Fe_{ (aq) }^{ 3+ }\)

Oxidation half reaction: \([Fe_{ (aq) }^{ 2+ } \; \rightarrow \; Fe_{ (aq) }^{ 3+ } \; + \; e^{ – } ] \; \times \; 2\); \(E^{\circ} \; = \; -0.77V\)

Reduction half reaction: \(Br_{2\; (aq) } \; + \; 2 \; e^{ – } \; \rightarrow \; 2 \; Br_{ (aq) }^{ – }\); \(E^{\circ} \; = \; +1.09V\)

\(Br_{2\; (s) } \; + \; 2 \; Fe_{ (aq) }^{ 2+ } \; \rightarrow \; 2 \; Br_{(aq)}^{ – } \; + \; 2 \; Fe_{ (aq) }^{3+}\); \(E^{\circ} \; = \; -0.32V\)

\(E^{\circ}\) for the overall reaction is positive. Therefore, the reaction between \(Br_{2\; (aq) }\) and \(Fe^{2+}_{ (aq) }\) is feasible.

27. Predict the products of electrolysis in each of the following:

(i) An aqueous solution of \(AgNO_{3}\) with silver electrodes

(ii) An aqueous solution \(AgNO_{3}\) with platinum electrodes

(iii) A dilute solution of \(H_{2}SO_{4}\) with platinum electrodes

(iv) An aqueous solution of \(CuCl_{2}\) with platinum electrodes.

Answer:

(i) \(AgNO_{3}\) ionizes in aqueous solution to form \(Ag^{+}\) and \(NO^{-}_{3}\) ions.

On electrolysis, either \(Ag^{+}\) ion or \(H_{2}O\) molecule can be decreased at cathode. But the reduction potential of \(Ag^{+}\) ions is higher than that of \(H_{2}O\).

\(Ag^{+}_{(aq)} \; + \; e^{-} \; \rightarrow Ag_{\left ( s \right )}\); \(E^{\circ} \; = \; +0.80V\)

\(2\; H_{2}O_{\left ( l \right )} \; +\; 2 \;e^{-} \; \rightarrow \;H_{2\;\left ( g \right )} \;+ \; 2 \;OH^{-}_{\left ( aq \right )}\); \(E^{\circ} \; = \; -0.83V\)

Therefore, \(Ag^{+}\) ions are decreased at cathode. Same way, Ag metal or \(H_{2}O\) molecules can be oxidized at anode. But the oxidation potential of Ag is greater than that of \(H_{2}O\) molecules.

\(Ag_{\left ( s \right )} \; \rightarrow \;Ag^{+}_{\left ( aq \right )} \;+ \;e^{-}\); \(E^{\circ} \; = \; -0.80V\)

\(2\; H_{2}O_{\left ( l \right )}\; \rightarrow \;O_{2\;\left ( g \right )}\; +\; 4 \;H^{+}_{\left ( aq \right )}\; +\; 4\; e^{-}\); \(E^{\circ} \; = \; -1.23V\)

Hence, Ag metal gets oxidized at anode.

(ii) Pt cannot be oxidized very easily. Therefore, at anode, oxidation of water occurs to liberate \(O_{2}\). At the cathode, \(Ag^{+}\) ions are decreased and get deposited.

(iii) \(H_{2}SO_{4}\) ionizes in aqueous solutions to give \(H^{+}\) and \(SO_{4}^{2-}\) ions.

\(H_{2}SO_{4\;\left ( aq \right )} \;\rightarrow \; 2\; H^{+}_{\left ( aq \right )} \; +\; SO^{2-}_{4 \left ( aq \right )}\)

On electrolysis, either of \(H_{2}O\) molecules or \(H^{+}\) ions can get decreased at cathode. But the decreased potential of \(H^{+}\) ions is higher than that of \(H_{2}O\) molecules.

\(2 \;H^{+}_{\left ( aq \right )} \;+ \;2 \;e^{-} \;\rightarrow \;H_{2\;\left ( g \right )}\); \(E^{\circ} \; = \; 0.0V\)

\(2 \;H_{2}O_{\left ( aq \right )} \;+ \;2 \;e^{-} \;\rightarrow \;H_{2\;\left ( g \right )} \;+ \;2 \;OH^{-}_{\left ( aq \right )}\); \(E^{\circ} \; = \; -0.83V\)

Therefore, at cathode, \(H^{+}\) ions are decreased to free \(H_{2}\) gas.

On the other hand, at anode, either of \(H_{2}O\) molecules or \(SO_{4}^{2-}\) ions can be oxidized. But the oxidation of \(SO_{4}^{2-}\) involves breaking of more bonds than that of \(H_{2}O\) molecules. Therefore, \(SO_{4}^{2-}\) ions have lower oxidation potential than \(H_{2}O\). Hence, \(H_{2}O\) is oxidized at anode to free \(O_{2}\) molecules.

(iv) In aqueous solutions, \(CuCl_{2}\) ionizes to give \(Cu^{2+}\) and \(Cl^{-}\) ions as:

\(CuCl_{2\; \left ( aq \right )} \;\rightarrow \;Cu^{2+}_{\left ( aq \right )} \;+ \;2 \;Cl_{\left ( aq \right )}^{-}\)

\(CuCl_{2\;\left ( aq \right )} \;\rightarrow \;Cu^{2+}_{\left ( aq \right )} \;+ \;2 \;Cl_{\left ( aq \right )}^{-}\)

On electrolysis, either of \(Cu^{2+}\) ions or \(H_{2}O\) molecules can get decreased at cathode. But the decreased potential of\(Cu^{2+}\) is more than that of \(H_{2}O\) molecules.

\(Cu^{2+}_{\left ( aq \right )} \;+ \;2 \;e^{-} \;\rightarrow \;Cu_{\left ( aq \right )}\); \(E^{\circ} \; = \; +0.34V\)

\(H_{2}O_{\left ( l \right )} \;+ \;2 \;e^{-} \;\rightarrow \;H_{2\;\left ( g \right )} \;+ \; 2 \;OH^{-}\); \(E^{\circ} \; = \; -0.83V\)

Therefore, \(Cu^{2+}\) ions are decreased at cathode and get deposited. In the same way, at anode, either of \(Cl^{-}\) or\(H_{2}O\) is oxidized. The oxidation potential of \(H_{2}O\) is higher than that of \(Cl^{-}\).

\(2 \;Cl^{-}_{\left ( aq \right )} \;\rightarrow \;Cl_{2\;\left ( g \right )} \;+ \;2 \;e^{-}\); \(E^{\circ} \; = \; +0.34V\)

\(2\; H_{2}O_{\left ( l \right )} \;\rightarrow \;O_{2\;\left ( g \right )} \;+ \;4 \;H^{+}_{\left ( aq \right )} \;+ \;4 \;e^{-}\); \(E^{\circ} \; = \; -1.23V\)

But oxidation of \(H_{2}O\) molecules occurs at a lower electrode potential compared to that of \(Cl^{-}\) ions because of over-voltage (extra voltage required to liberate gas). As a result, \(Cl^{-}\) ions are oxidized at the anode to liberate \(Cl_{2}\) gas.

28. Arrange the given metals in the order in which they displace each other from the solution of their salts.

(i) Al

(ii) Fe

(iii) Cu

(iv) Zn

(v) Mg

Answer:

A metal with stronger reducing power displaces another metal with weaker reducing power from its solution of salt.

The order of the increasing reducing power of the given metals is as given below:

Cu < Fe < Zn < Al < Mg

Therefore, Mg can displace Al from its salt solution, but Al cannot displace Mg. Thus, the order in which the given metals displace each other from the solution of their salts is as given below: Mg >Al>Zn> Fe >Cu

 

29.The standard electrode potentials are given of the following elements:

\(K^{+}\)/K = –2.93V

\(Ag^{+}\)/Ag = 0.80V

\(Hg^{2+}\)/Hg = 0.79V

\(Mg^{2+}\)/Mg = –2.37V

\(Cr^{3+}\)/Cr = –0.74V

Arrange these metals in their increasing order of reducing power.

Answer:

The reducing agent is stronger as the electrode potential decreases. Hence, the increasing order of the reducing power of the given metals is as given below:

Ag < Hg < Cr < Mg < K

 

30. Depict the galvanic cell in which the reaction is:

\(Zn_{\left ( s \right )} \;+ \;2 \;Ag_{\left ( aq \right )}^{+} \;\rightarrow \;Zn^{2+}_{\left ( aq \right )} \;+ \;2 \;Ag_{\left ( s \right )}\)

Show the following:

(i) Which of the electrode is negatively charged?

(ii) Name the carriers of the current in the cell.

(iii) Write the individual reaction at each electrode.

Answer:

The galvanic cell corresponding to the given redox reaction can be shown as:

Zn|\(Zn^{2+}_{\left ( aq \right )}\)||\(Ag^{+}_{\left ( aq \right )}\)|Ag

(i) Zn electrode is negatively charged because at this electrode, Zn oxidizes to \(Zn^{2+}\) and the leaving electrons accumulate on this electrode.

(ii) The carriers of current are ions in the cell.

(iii) Reaction at Zn electrode is shown as:

\(Zn_{\left ( s \right )} \;\rightarrow \;Zn^{2+}_{\left ( aq \right )} \;+ \;2 \;e^{-}\)

Reaction at Ag electrode is shown as:

\(Ag^{+}_{\left ( aq \right )} \;+ \;e^{-}\;\rightarrow \;Ag_{\left ( s \right )}\)