Chemistry Chapter-12: Aldehydes, Ketones and Carboxylic Acids
Question 12.1: What do you mean by the following terms? Give an example of the reaction.
(i) Cyanohydrin
(ii) Acetal
(iii) Semicarbazone
(iv) Aldol
(v) Hemiacetal
(vi) Oxime
(vii) Ketal
(vii) Imine
(ix) 2,4-DNP-derivative
(x) Schiff’s base
Answer: (i) Cyanohydrin:
Cyanohydrin are organic compounds having the formula RR’C(OH)CN, where R and R’ can be alkyl or aryl groups.

Aldehydes and ketones react with hydrogen cyanide (HCN) in the presence of excess sodium cyanide (NaCN) as a catalyst to field cyanohydrin. These reactions are known as cyanohydrin reactions.

Cyanohydrins are useful synthetic intermediates.
(ii) Acetal:
The gem?dialkoxy alkanes which consists of two alkoxy groups at the terminal carbon atom is called Acetal. One bond is connected to an alkyl group while the other is connected to a hydrogen atom.

General structure of an acetal.
Hemiacetals are produced when aldehydes are treated with two equivalents of a monohydric alcohol in the presence of dry HCl gas. Hemiacetals further react with one more molecule of alcohol to yield acetal.

(iii) Semicabarbazone:
Aldehydes and ketones derives semicabarbazone, which is produced by the condensation reaction between a ketone or aldehyde and semicarbazide.

Semicarbarzones are useful for identification and characterization of aldehydes and ketones.
(iv) Aldol:
An aldol is a ?-hydroxy aldehyde or ketone. It is produced by the condensation reaction of two molecules of the same or one molecule each of two different aldehydes or ketones in the presence of a base.

(v) Hemiacetal:
Hemiacetals are ??alkoxyalcohols

General structure of of a hemiacetal.
Aldehyde reacts with one molecule of a monohydric alcohol in the presence of dry HCl gas.

(vi) Oxime:
General formula – RR?CNOH
Where R is an organic side chain and R? is either an organic side chain or hydrogen. If R? is an organic side chain, then it is known as ketoxime and if R? is H, it is known as aldoxime.

On treatment with hydroxylamine in a weakly acidic medium, aldehydes or ketones form oximes.

(vii) Ketal:
Ketals are gem?dialkoxyalkanes in which one carbon atom consists of two alkoxy groups within the chain. The other two bonds of the carbon atom are connected to two alkyl groups.

General structure of a ketal.
A cyclic product is produced when ketones react with ethylene glycol in the presence of dry HCl gas, known as ethylene glycol ketals.

(viii) Imine:
Imines are chemical compounds containing a carbon nitrogen double bond.

Aldehydes and ketones produces imines whey they react with ammonia and its derivatives.

(ix) 2, 4?DNP?derivative:
2, 4?dinitrophenylhydragones are 2, 4?DNP?derivatives, which are produced when aldehydes or ketones react with 2, 4?dinitrophenylhydrazine in a weakly acidic medium.

To identify and characterize aldehydes and ketones, 2, 4?DNP derivatives are used.
(x) Schiff’s base:
Schiff’s base (or azomethine) is a chemical compound containing a carbon-nitrogen double bond with the nitrogen atom connected to an aryl or alkyl group-but not hydrogen. They have the general formula R1R2C = NR3. Hence, it is an imine. It is named after a scientist, Hugo Schiff.

Aldehydes and ketones on treatment with primary aliphatic or aromatic amines in the presence of trace of an acid yields a Schiff’s base.

Question 12.2: Name the following compounds according to IUPAC system of nomenclature:
(i) CH3CH(CH3)CH2CH2CHO
(ii) CH3CH2COCH(C2H5)CH2CH2Cl
(iii) CH3CH=CHCHO
(iv) CH3COCH2COCH3
(v) CH3CH(CH3)CH2C(CH3)2COCH3
(vi) (CH3)3CCH2COOH
(vii)OHCC6H4CHO-p
Soln:
(i) 4-methylpentanal
(ii) 6-Chloro-4-ethylhexan-3-one
(iii) But-2-en-1-al
(iv) Pentane-2, 4-dione
(v) 3, 3, 5-Trimethylhexan-2-one
(vi) 3,3-Dimethylbutanoic acid
(vii) Benzene-1,4-dicarbaldehyde
Question 12.3: Draw the structures of the following compounds.
(i) 3-Methylbutanal
(ii) p-Nitropropiophenone
(iii) p-Methylbenzaldehyde
(iv)4-Methylpent-3-en-2-one
(v) 4-Chloropentan-2-one
(vi) 3-Bromo-4-phenylpentanoic acid
(vii) p,p’-Dihydroxybenzophenone
(viii) Hex-2-en-4-ynoic acid
Soln:

Question 12.4: Write the IUPAC names of the following ketones and aldehydes. Wherever possible, give also common names.
(i) CH3CO(CH2)4CH3
(ii) CH3CH2CHBrCH2CH(CH3)CHO
(iii) CH3(CH2)5CHO
(iv)Ph-CH=CH-CHO
(v)

(vi)PhCOPh
Soln:
(i) CH3CO(CH2)4CH3
IUPAC name: Heptan-2-one
Common name: Methyl n-propyl ketone
(ii) CH3CH2CHBrCH2CH(CH3)CHO
IUPAC name: 4-Bromo-2-methylhaxanal
Common name: (?-Bromo-?-methyl-caproaldehyde)
(iii) CH3(CH2)5CHO
IUPAC name: Heptanal
(iv) Ph-CH=CH-CHO
IUPAC name: 3-phenylprop-2-enal
Common name: ?-Pheynolacrolein
(v)

IUPAC name: Cyclopentanecarbaldehyde
(vi) PhCOPh
IUPAC name: Diphenylmethanone
Common name: Benzophenone
Question 12.5: Draw structures of the following derivatives.
(i) The 2,4-dinitrophenylhydrazone of benzaldehyde
(ii) Cyclopropanone oxime
(iii) Acetaldehydedimethylacetal
(iv) The semicarbazone of cyclobutanone
The ethylene ketal of hexan-3-one
(vi) The methyl hemiacetal of formaldehyde
Soln:

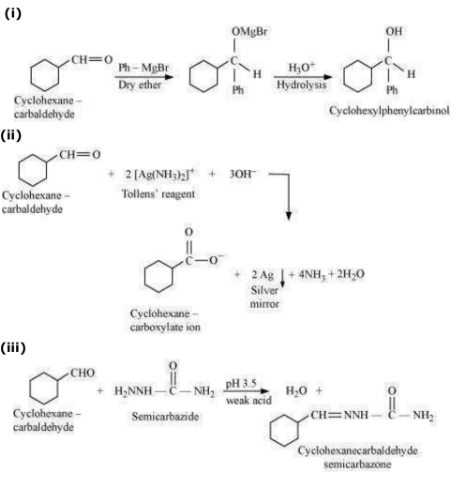
Question 12.6: Predict the products formed when cyclohexanecarbaldehyde reacts with following reagents.
(i) PhMgBr and then H3O+
(ii)Tollens’ reagent
(iii) Semicarbazide and weak acid
(iv)Excess ethanol and acid
(v) Zinc amalgam and dilute hydrochloric acid
Soln:


Question 12.7: Which of the following compounds would undergo aldol condensation, which the Cannizzaro reaction and which neither? Write the structures of the expected products of aldol condensation and Cannizzaro reaction.
(i) Methanal
(ii) 2-Methylpentanal
(iii) Benzaldehyde
(iv) Benzophenone
(v) Cyclohexanone
(vi) 1-Phenylpropanone
(vii) Phenylacetaldehyde
(viii) Butan-1-ol
(ix) 2, 2-Dimethylbutanal
Soln: Aldehydes and ketones having at least one ?-hydrogen undergo aldol condensation. The compounds (ii) 2?methylpentanal, (v) cyclohexanone, (vi) 1-phenylpropanone, and (vii) phenylacetaldehyde contain one or more ?-hydrogen atoms. Therefore, these undergo aldol condensation.
Aldehydes having no ?-hydrogen atoms undergo Cannizzaro reactions. The compounds (i) Methanal, (iii) Benzaldehyde, and (ix) 2, 2-dimethylbutanal do not have any ?hydrogen.
Therefore, these undergo cannizzaro reactions.
Compound (iv) Benzophenone is a ketone having no ?-hydrogen atom and compound (viii) Butan-1-ol is an alcohol. Hence, these compounds do not undergo either aldol condensation or cannizzaro reactions.


Question 12.8: How will you convert ethanal into the following compounds?
(i) Butane-1, 3-diol
(ii) But-2-enal
(iii) But-2-enoic acid
Soln:
(i) Ethanal produces 3-hydroxybutanal gives butane-1, 3-diol on reduction, when it is treated with dilute alkali.

(ii) Ethanal gives 3-hydroxybutanal which on heating produces but-2-enal when it is treated with dilute alkali.

(iii) But-2-enal produced in the above reaction produces but-2-enoic acid when it is treated with Tollen’s reagent.

Question 12.9:
Write structural formulas and names of four possible aldol condensation products from propanal and butanal. In each case, indicate which aldehyde acts as nucleophile and which as electrophile.
Soln:
(i) One molecule of proapanal acts as a nucleophile and the other molecule acts as an electrophile.

(ii) Taking two molecules of butanal, one which acts as a nucleophile and the other as an electrophile.

(iii) Taking one molecule each of propanal and butanal in which propanal acts as a nucleophile and butanal acts as an electrophile.

(iv) Taking one molecule each of propanal and butanal in which propanal acts as an electrophile and butanal acts as a nucleophile.

Question 12.10:
An organic compound with the molecular formula C9H10O forms 2, 4-DNP derivative, reduces Tollen’s reagent and undergoes Cannizzaro reaction. On vigorous oxidation, it gives 1, 2-benzenedicarboxylic acid. Identify the compound.
Soln: The compound having molecular formula C9H10O forms 2, 4-DNP derivative and reduces Tollen’s reagent. Therefore, the given compound must be an aldehyde. Again, the compound gives 1, 2 benzenedicarboxylic acid and undergoes cannizzaro reaction followed by oxidation. Therefore, the ?CHO group is directly attached to a benzene ring and this benzaldehyde is ortho-substituted. Hence, the compound is found to be 2-ethylbenzaldehyde.

The given reactions can be explained by the following equations.

Question 12.11: An organic compound (A) (molecular formula C8H16O2) was hydrolysed with dilute sulphuric acid to give a carboxylic acid (B) and an alcohol (C). Oxidation of (C) with chromic acid produced (B). (C) on dehydration gives but-1-ene.Write equations for the reactions involved.
Soln: A is an organic compound with a molecular formula C8H16O2. This gives a carboxylic acid (B) and an alcohol (C) on hydrolysis with dilute sulphuric acid. Thus, compound A must be an ester.
Further, oxidation of alcohol (C) with chromic acid gives acid B. Thus, B and C must contain equal number of carbon atoms.
A total of 8 carbon atoms are present in compound A, each of B and C contain 4 carbon atoms.
Again, alcohol C gives but-1-ene on dehydration. Therefore, C is of straight chain and hence, it is butan-1-ol.
On oxidation, Butan-1-ol gives butanoic acid. Hence, acid B is butanoic acid.
Hence, the ester with molecular formula C8H16O2 is butylbutanoate.

All the given reactions can be explained by the following equations.

Question 12.12: Arrange the following compounds in increasing order of their property as indicated:
(i) Acetaldehyde, Acetone, Di-tert-butyl ketone, Methyl tert-butyl ketone (reactivity towards HCN)
(ii) CH3CH2CH(Br)COOH, CH3CH(Br)CH2COOH, (CH3)2CHCOOH, CH3CH2CH2COOH (acid strength)
(iii) Benzoic acid, 4-Nitrobenzoic acid, 3,4-Dinitrobenzoic acid, 4-Methoxybenzoic acid (acid strength)
Soln:
(i) When HCN reacts with a compound, the attacking species is a nucleophile, CN–. Therefore, the reactivity with HCN decreases, when the negative charge on the compound increases. The +I effect increases in the given compound. Steric hindrance also increases in the same.
Hence, the given compounds can be arranged according to their increasing reactivities toward HCN as:

Di-tert-butyl ketone < Methyl tert-butyl ketone < Acetone < Acetaldehyde
(ii) After losing a proton, carboxylic acids gain a negative charge as shown:

Now, the stability of the carboxyl ion increases by any group that helps to stabilize the negative charge, will increase the strength of the acid. Thus, groups having ?I effect will increase the strength of the acids and groups having +I effect will decrease the strength of the acids. In the given compounds,Br? group has ?I effect and ?CH3 group has +I effect. Thus, acids containing Br? are stronger.
Now, the +I effect of isopropyl group is more than that of n-propyl group. Hence, CH3CH2CH2COOH is a stronger acid than (CH3)2CHCOOH.
Also, as the distance increases, +I effect grows weaker. Hence, CH3CH2CH(Br)COOH is a stronger acid than CH3CH(Br)CH2COOH.
Hence, the strengths of the given acids increase as:
(CH3)2CHCOOH < CH3CH2CH2COOH < CH3CH(Br)CH2COOH < CH3CH2CH(Br)COOH
(iii) As we have seen in the previous case, the strengths of acids is decreased by the electron donating group, while the strengths of acids increases by electron-withdrawing groups. As methoxy group is an electron-donating group, benzoic acid is a stronger acid than 4-methoxybenzoic acid. Nitro group is an electron-withdrawing group and will increase the strengths of acids. As 3,4-dinitrobenzoic acid contains two nitro groups, it is a slightly stronger acid than 4-nitrobenzoic acid. Hence, the strengths of the given acids increase as:
4-Methoxybenzoic acid < Benzoic acid < 4-Nitrobenzoic acid < 3, 4-Dinitrobenzoic acid
Question 12.13: Give simple chemical tests to distinguish between the following pairs of compounds.
(i) Propanal and Propanone
(ii) Acetophenone and Benzophenone
(iii) Phenol and Benzoic acid
(iv) Benzoic acid and Ethyl benzoate
(v) Pentan-2-one and Pentan-3-one
(vi) Benzaldehyde and Acetophenone
(vii) Ethanal and Propanal
Soln: (i) Propanal and propanone can be distinguished by the following tests.
(a) Tollen’s test
Tollen’s reagent is reduced by propanal as it is an aldehyde. But, Tollen’s reagent is not reduced as propanone is a ketone.

(b) Fehling’s test
Aldehydes respond to Fehling’s test, but ketones do not.
Propanone being a ketone does not reduces Fehling’s solution to a red-brown precipitate of Cu2O, but Propanal being an aldehyde does the reaction.

(c) Iodoform test:
At least one methyl group should be present in aldehydes and ketones linked to the carbonyl carbon atom to respond to iodoform test. They are oxidized by sodium hypoiodite (NaOI) to give iodoforms. Propanone being a methyl ketone responds to this test, but propanal does not.

(ii) Acetophenone and Benzophenone can be distinguished using the iodoform test.
Iodoform test:
yellow ppt. of iodoform is produced when methyl ketones are oxidized by sodium hypoiodite.
Acetophenone being a methyl ketone responds to this test, but benzophenone does not.

(iii) Phenol and benzoic acid can be distinguished by ferric chloride test.
Ferric chloride test:
Phenol reacts with neutral FeCl3 to form an iron-phenol complex giving violet coloration.

A buff coloured ppt of ferric benzoate is produced when benzoic acid reacts with neutral FeCl3 .

(iv) Benzoic acid and Ethyl benzoate can be distinguished by sodium bicarbonate test.
Sodium bicarbonate test:
Brisk effervescence is produced when acids react with NaHCO3 due to the evolution of CO2 gas.
Benzoic acid being an acid responds to this test, but ethylbenzoate does not.

(v) Pentan-2-one and pentan-3-one can be distinguished by iodoform test.
Iodoform test:
Pentan-2-one responds to this test as it is a methyl ketone. But pentan-3-one not being a methyl ketone does not respond to this test.

(vi) Benzaldehyde and acetophenone can be distinguished by the following tests.
(a) Tollen’s Test
Aldehydes respond to Tollen’s test. Red-brown precipitate of Cu2O is produced by Benzaldehyde reduces Tollen’s reagent, but acetophenone being a ketone does not.

(b) Iodoform test
A yellow precipitate of iodoform is given by acetophenone (a methyl ketone) when it undergoes oxidation by sodium hypoiodite (NaOI). But benzaldehyde does not respond to this test.

(vii) Ethanal and propanal can be distinguished by iodoform test.
Iodoform test
Carbonyl carbon atom having at least one methyl group in aldehydes and ketones responds to the iodoform test. Also, Ethanal having one methyl group linked to the carbonyl carbon atom responds to this test. But, there are no methyl group linked to the carbonyl carbon atom in ropanal and thus, it does not respond to this state.

Question 12.14: How will you prepare the following compounds from benzene? You may use any inorganic reagent and any organic reagent having not more than one carbon atom
(i) Methyl benzoate
(ii) m-Nitrobenzoic acid
(iii) p-Nitrobenzoic acid
(iv) Phenylacetic acid
(v) p-Nitrobenzaldehyde
Soln:



Question 12.15: How will you bring about the following conversions in not more than two steps?
(i) Propanone to Propene
(ii) Benzoic acid to Benzaldehyde
(iii) Ethanol to 3-Hydroxybutanal
(iv) Benzene to m-Nitroacetophenone
(v) Benzaldehyde to Benzophenone
(vi) Bromobenzene to 1-Phenylethanol
(vii) Benzaldehyde to 3-Phenylpropan-1-ol
(viii) Benazaldehyde to ?-Hydroxyphenylacetic acid
(ix) Benzoic acid to m- Nitrobenzyl alcohol
Soln:



Question 12.16: Describe the following:
(i) Acetylation
(ii) Cannizzaro reaction
(iii) Cross aldol condensation
(iv) Decarboxylation
Soln:
(i) Acetylation
When an organic compound is introduces with acetyl function group, it is known as acetylation. Bases such as pyridine, dirnethylaniline, etc. is present when this process is carried out. An acetyl group is substituted with an active hydrogen atom in this process. Acetylating agents such as acetyl chloride and acetic anhydride are commonly used in the process.
For example, acetylation of ethanol produces ethyl acetate.

(ii) Cannizzaro reaction:
Cannizzaro reaction is the self disproportionation (oxidation – reduction) reaction of aldehydes with no ?-hydrogens on treatment with concentrated alkalis.
One molecule of aldehyde is reduced to alcohol and the other is oxidized to carboxylic acid, in this reaction.
For example, ethanol and potassium ethanoate are produced when ethanol is treated with concentrated potassium hydroxide,.

(iii) Cross-aldol condensation:
Cross – aldol condensation is carried out between two different aldehydes, or two different ketones, or an aldehyde and a ketone. Four compounds are obtained as products if both the reactants contain ?-hydrogens.
For example, reaction of ethanal and propanal gives four products.

(iv) Decarboxylation:
Reaction in which carboxylic acids lose carbon dioxide to form hydrocarbons when their sodium salts are heated with soda-lime is called decarboxylation.
When aqueous solutions of alkali metal salts of carboxylic acids are electrolyzed also results in decarboxylation. This electrolytic process is known as Kolbe’s electrolysis.

Question 12.17: Complete each synthesis by giving missing starting material, reagent or products:
(i)


Soln:


Question 12.18: Give plausible explanation for each of the following:
(i) Cyclohexanone forms cyanohydrin in good yield but 2, 2, 6 trimethylcyclohexanone does not.
(ii) There are two ?NH2 groups in semicarbazide. However, only one is involved in the formation of semicarbazones.
(iii) During the preparation of esters from a carboxylic acid and an alcohol in the presence of an acid catalyst, the water or the ester should be removed as soon as it is formed.
Soln: (i) Cyanohydrins are formed by cyclohexanones according to the following equation.

In this case, there will not be any steric hindrance, hence the nucleophile CN– can easily attack. However, in the case of 2, 2, 6 trimethylcydohexanone, methyl groups at ?-positions offer steric hindrances and as a result, CN? cannot attack effectively.

For this reason, it does not form a cyanohydrin.
(ii) Semicarbazide undergoes resonance involving only one of the two ?NH2 groups, which is attached directly to the carbonyl-carbon atom.

Therefore, the electron density on ?NH2 group involved in the resonance also decreases.
As a result, it cannot act as a nucleophile. Since the other ?NH2 group is not involved in resonance; it can act as a nucleophile and can attack carbonyl-carbon atoms of aldehydes and ketones to produce semicarbazones.
(iii) Ester along with water is formed reversibly from a carboxylic acid and an alcohol in presence of an acid.

If either water or ester is not removed as soon as it is formed, then it reacts to give back the reactants as the reaction is reversible. Therefore, to shift the equilibrium in the forward direction i.e., to produce more ester, either of the two should be removed.
Question 12.19: An organic compound contains 69.77% carbon, 11.63% hydrogen and rest oxygen. The molecular mass of the compound is 86. It does not reduce Tollens’ reagent but forms an addition compound with sodium hydrogensulphite and give positive iodoform test. On vigorous oxidation it gives ethanoic and propanoic acid. Write the possible structure of the compound.
Soln: % of carbon = 69.77 %
% of hydrogen = 11.63 %
% of oxygen = {100 ? (69.77 + 11.63)}%
= 18.6 %
Thus, the ratio of the number of carbon, hydrogen, and oxygen atoms in the organic compound can be given as:
(C:H:O=frac{69.77}{12}:frac{11.63}{1}:frac{18.6}{16})
= 5.81 : 11.63 : 1.16
= 5: 10 : 1
Therefore, the empirical formula of the compound is C5H10O. Now, the empirical formula mass of the compound can be given as:
= 5 x 12 + 10 x 1 + 1 x 16
= 86
Molecular mass of the compound = 86
Therefore, the molecular formula of the compound is given by C5H10O.
Tollen’s reagent is not reduced by the given compound, hence it is not an aldehyde. A positive iodoform test is given by the compound and also forms sodium hydrogen sulphate addition products. Since the compound is not an aldehyde, it must be a methyl ketone.
The given compound also gives a mixture of ethanoic acid and propanoic acid.
Hence, the given compound is pentan?2?ol.

The given reactions can be explained by the following equations:

Question 12.20: Although phenoxide ion has more number of resonating structures than carboxylate ion, carboxylic acid is a stronger acid than phenol. Why?
Soln: Resonance structures of phenoxide ion are:

In II, III and IV, less electronegative carbon atoms carry a negative charge which is observed from the resonance structures of phenoxide ion. Therefore, the resonance stability of the phenoxide ion gets a negligible contribution from these three structures.
Hence, these structures can be eliminated. The more electronegative oxygen atom contains negative charge by the structures I and V.
Resonance structures of carboxylate ion are:

In the case of carboxylate ion, resonating structures I? and II? contain a charge carried by a more electronegative oxygen atom.
Also, the negative charge is delocalized over two oxygen atoms, in resonating structures I? and II?. But in resonating structures I and V of the phexoxide ion, the negative charge is localized on the same oxygen atom. Therefore, its stability is determined more by the resonating structures of carboxylate ion than those of phenoxide ion. As a result, phenoxide ion is less resonance-stabilized than carboxylate ion. Hence, carboxylic acid is a stronger acid than phenol.