Terminal Velocity
Consider a spherical body of radius r and density ρ falling through a liquid of density σ. The forces acting on the body will be
- (i) Weight of the body W acting downward
- (ii) The viscous force F acting vertically upward
- (iii) The buoyant force B acting upward
Under the action of these forces, at some instant the net force on the body becomes zero, since the viscous force increases with the increase of velocity. Then, the body falls with a constant velocity known as terminal velocity.
Magnitude of these forces are
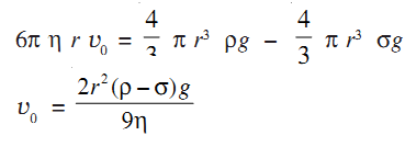
F = 6π η r v0
where v0 is the terminal velocity.
W = (4/3) π r3 ρg
B = (4/3) π r3 σg
The net force is zero when object attains terminal velocity. Hence
