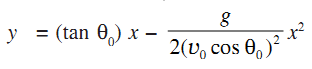
Trajectory of a Projectile
The path followed by a projectile is called its trajectory. If air resistance is negligible, the path of any projectile launched at an angle to the horizontal is a parabola or a portion of a parabola.
Equation of Trajectory
