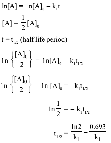
Half-Life Period
The time taken for a reaction to reach the half-way stage i.e. when half of the starting material has reacted is called half-life period of the reaction. It is denoted by t½ or t0.5. Half-life period is independent of the initial concentration.
For first order reaction
